🇳🇴 🇬🇧 🇩🇪 🇨🇿 🇫🇮

Meteor, poloha: Sand 2015-12-14 03:38:32 UTC

Soubor KML  |  InteraktivnĂ­ mapa

Mapa zobrazuje dráhy meteoru. Světlejší čáry ukazují směry od pozorovacích stanic při objevení se meteoru a tmavší čáry, kde byl naposledy viděn. Modrá šipka značí viditelnou dráhu meteoru.

static map
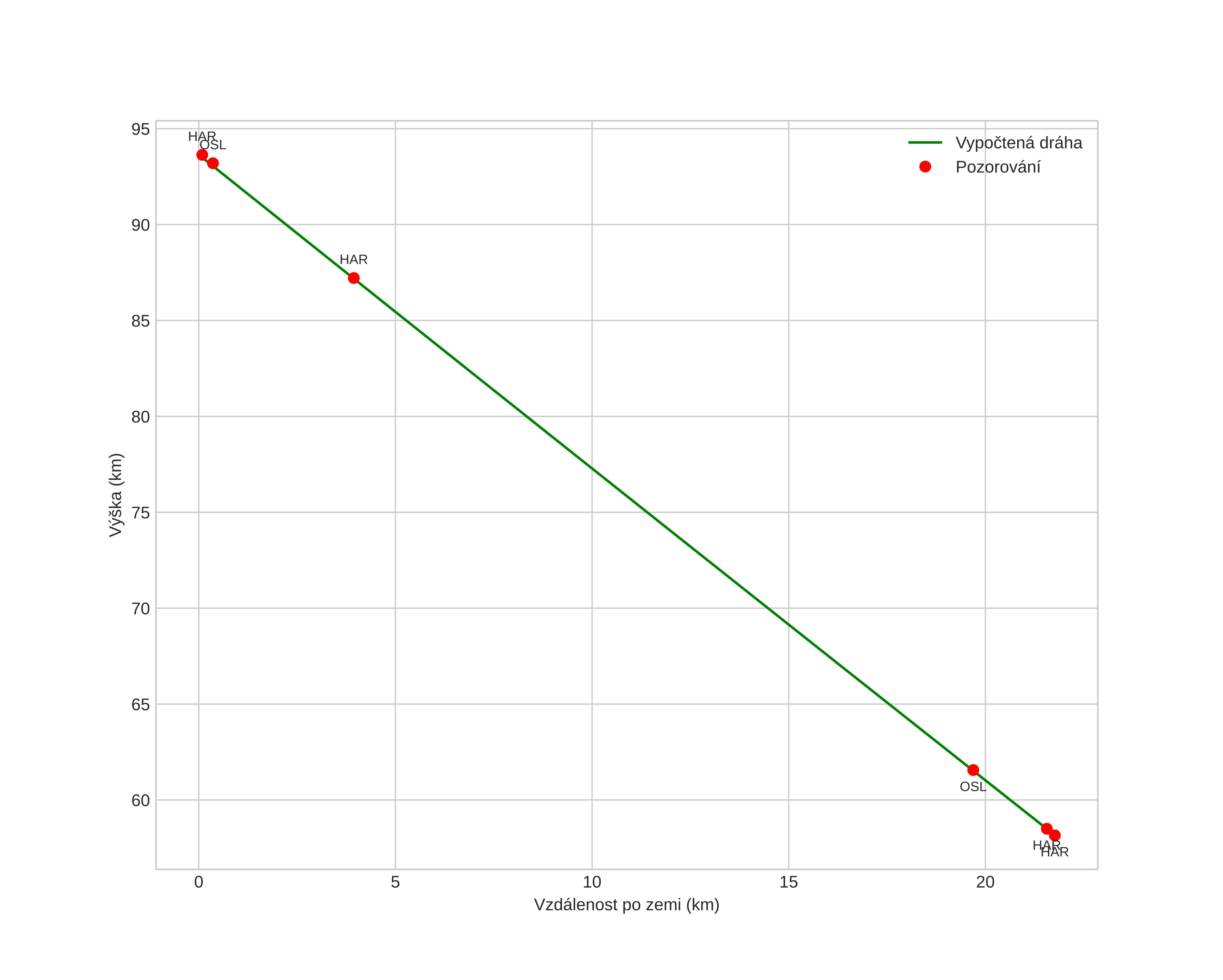
height profile
Atmosférická dráha meteoru:
Počáteční výška: 93,6 km
Konečná výška: 58,2 km
Počáteční poloha: 60,317N 11,338E
Konečná poloha: 60,435N 11,655E
Směr: 53,1°
Sklon: 58,4°
VstupnĂ­ rychlost: 30,7 km/s
Rektascenze radiantu: 07:44 (116,0°)
Deklinace radiantu: 34,5°
MeteorickĂ˝ roj: Geminidy
Elementy dráhy meteoroidu:
Vzdálenost v periheliu: 0,183 AU
Excentricita: 0,813
Sklon dráhy: 21,8°
Délka vzestupného uzlu: 261,6°
Argument perihelia: 324,5°
Střední anomálie: 316,4°
Epocha: 2015 DEC 14 03:38:32
orbit plot

NeinteraktivnĂ­ graf | InteraktivnĂ­ graf

position vs time
speed and acceleration