🇳🇴 🇬🇧 🇩🇪 🇨🇿 🇫🇮

Meteor Sandin yllä 2015-12-14 03:38:32 UTC

KML-tiedosto  |  Interaktiivinen kartta

Kartta näyttää meteorin suuntahavainnot. Vaaleammat viivat näyttävät suunnat havaintoasemilta meteorin ilmestyessä, ja tummemmat viivat näyttävät, missä se viimeksi nähtiin. Sininen nuoli näyttää meteorin näkyvän lennon.

static map
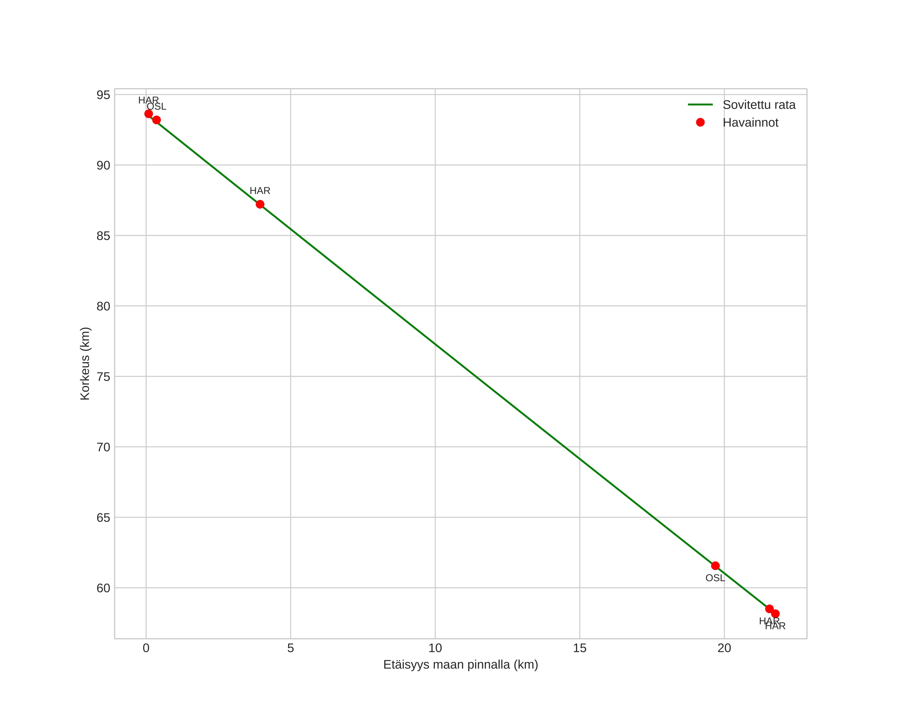
height profile
Meteorin ilmakehärata:
Alkukorkeus: 93,6 km
Loppukorkeus: 58,2 km
Alkupiste: 60,317N 11,338E
Loppupiste: 60,435N 11,655E
Suunta: 53,1°
Kallistuskulma: 58,4°
Tulonopeus: 30,7 km/s
Radiantin R,A,: 07:44 (116,0°)
Radiantin Dekl,: 34,5°
Meteoriparvi: Geminidit
Meteoroidin rataelementit:
Perihelietäisyys: 0,183 AU
Eksentrisyys: 0,813
Inklinaatio: 21,8°
Nousevan solmun pituus: 261,6°
Perihelin argumentti: 324,5°
Keskianomalia: 316,4°
Epookki: 2015 DEC 14 03:38:32
orbit plot

Ei-interaktiivinen kuvaaja | Interaktiivinen kuvaaja

position vs time
speed and acceleration