🇳🇴 🇬🇧 🇩🇪 🇨🇿 🇫🇮

Meteor, poloha: Hurdal 2015-12-14 17:19:20 UTC

Soubor KML  |  InteraktivnĂ­ mapa

Mapa zobrazuje dráhy meteoru. Světlejší čáry ukazují směry od pozorovacích stanic při objevení se meteoru a tmavší čáry, kde byl naposledy viděn. Modrá šipka značí viditelnou dráhu meteoru.

static map
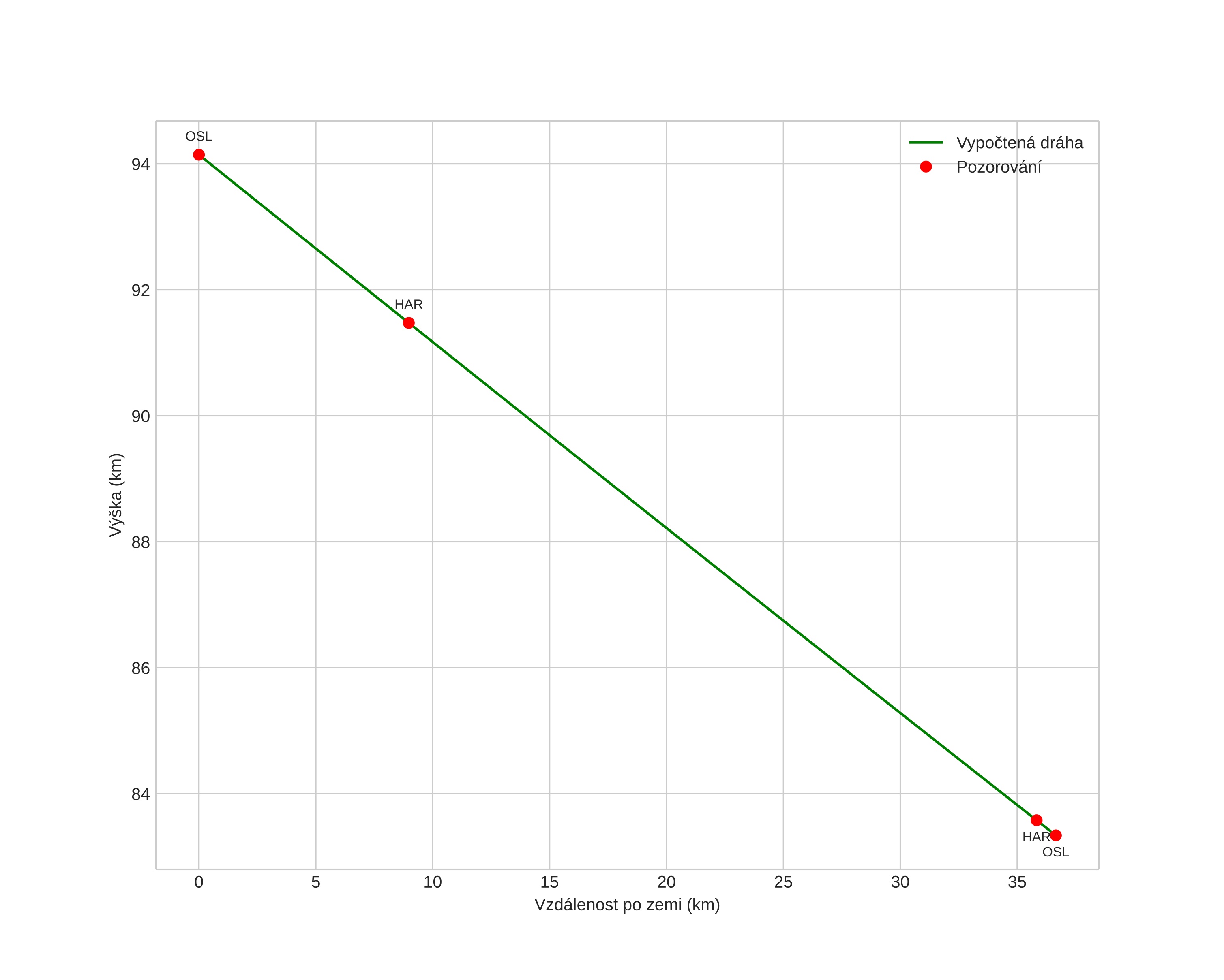
height profile
Atmosférická dráha meteoru:
Počáteční výška: 94,1 km
Konečná výška: 83,3 km
Počáteční poloha: 60,623N 11,570E
Konečná poloha: 60,408N 11,062E
Směr: 229,6°
Sklon: 16,4°
VstupnĂ­ rychlost: 37,2 km/s
Rektascenze radiantu: 07:36 (114,2°)
Deklinace radiantu: 31,8°
MeteorickĂ˝ roj: Geminidy
Elementy dráhy meteoroidu:
Vzdálenost v periheliu: 0,129 AU
Excentricita: 0,908
Sklon dráhy: 24,4°
Délka vzestupného uzlu: 262,2°
Argument perihelia: 325,8°
Střední anomálie: 338,2°
Epocha: 2015 DEC 14 17:19:20
orbit plot

NeinteraktivnĂ­ graf | InteraktivnĂ­ graf

position vs time
speed and acceleration