🇳🇴 🇬🇧 🇩🇪 🇨🇿 🇫🇮

Meteor Hurdalin yllä 2015-12-14 17:19:20 UTC

KML-tiedosto  |  Interaktiivinen kartta

Kartta näyttää meteorin suuntahavainnot. Vaaleammat viivat näyttävät suunnat havaintoasemilta meteorin ilmestyessä, ja tummemmat viivat näyttävät, missä se viimeksi nähtiin. Sininen nuoli näyttää meteorin näkyvän lennon.

static map
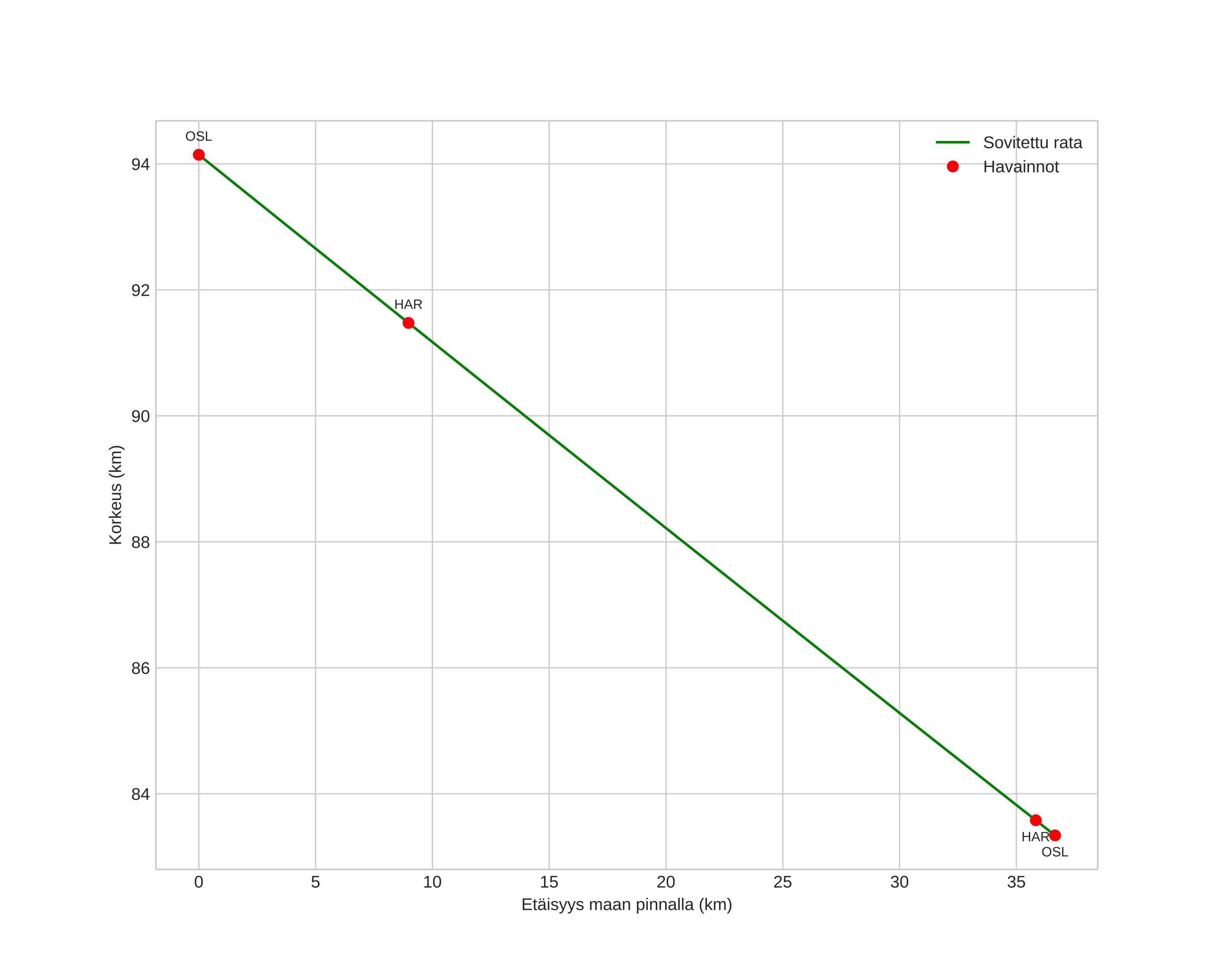
height profile
Meteorin ilmakehärata:
Alkukorkeus: 94,1 km
Loppukorkeus: 83,3 km
Alkupiste: 60,623N 11,570E
Loppupiste: 60,408N 11,062E
Suunta: 229,6°
Kallistuskulma: 16,4°
Tulonopeus: 37,2 km/s
Radiantin R,A,: 07:36 (114,2°)
Radiantin Dekl,: 31,8°
Meteoriparvi: Geminidit
Meteoroidin rataelementit:
Perihelietäisyys: 0,129 AU
Eksentrisyys: 0,908
Inklinaatio: 24,4°
Nousevan solmun pituus: 262,2°
Perihelin argumentti: 325,8°
Keskianomalia: 338,2°
Epookki: 2015 DEC 14 17:19:20
orbit plot

Ei-interaktiivinen kuvaaja | Interaktiivinen kuvaaja

position vs time
speed and acceleration