🇳🇴 🇬🇧 🇩🇪 🇨🇿 🇫🇮

Meteor, poloha: BrĂĄlanda 2015-12-14 17:41:29 UTC

Soubor KML  |  InteraktivnĂ­ mapa

Mapa zobrazuje dráhy meteoru. Světlejší čáry ukazují směry od pozorovacích stanic při objevení se meteoru a tmavší čáry, kde byl naposledy viděn. Modrá šipka značí viditelnou dráhu meteoru.

static map
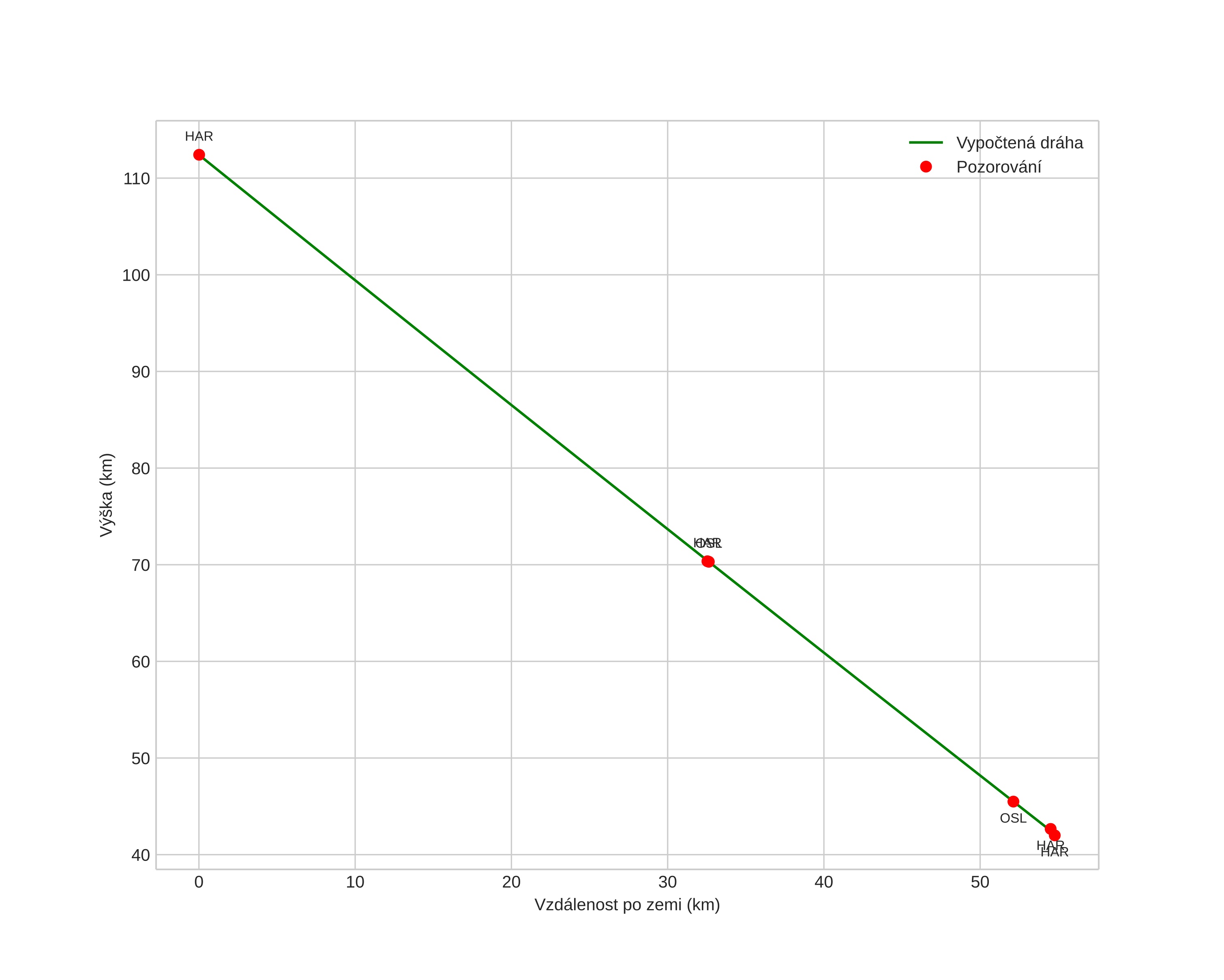
height profile
Atmosférická dráha meteoru:
Počáteční výška: 112,4 km
Konečná výška: 42,1 km
Počáteční poloha: 58,623N 11,320E
Konečná poloha: 58,649N 12,266E
Směr: 86,5°
Sklon: 52,0°
VstupnĂ­ rychlost: 14,7 km/s
Rektascenze radiantu: 19:52 (298,1°)
Deklinace radiantu: 34,1°
MeteorickĂ˝ roj: sporadickĂ˝
Elementy dráhy meteoroidu:
Vzdálenost v periheliu: 0,967 AU
Excentricita: 0,430
Sklon dráhy: 12,9°
Délka vzestupného uzlu: 262,2°
Argument perihelia: 160,3°
Střední anomálie: 7,2°
Epocha: 2015 DEC 14 17:41:29
orbit plot

NeinteraktivnĂ­ graf | InteraktivnĂ­ graf

position vs time
speed and acceleration