🇳🇴 🇬🇧 🇩🇪 🇨🇿 🇫🇮

Meteor Brålandan yllä 2015-12-14 17:41:29 UTC

KML-tiedosto  |  Interaktiivinen kartta

Kartta näyttää meteorin suuntahavainnot. Vaaleammat viivat näyttävät suunnat havaintoasemilta meteorin ilmestyessä, ja tummemmat viivat näyttävät, missä se viimeksi nähtiin. Sininen nuoli näyttää meteorin näkyvän lennon.

static map
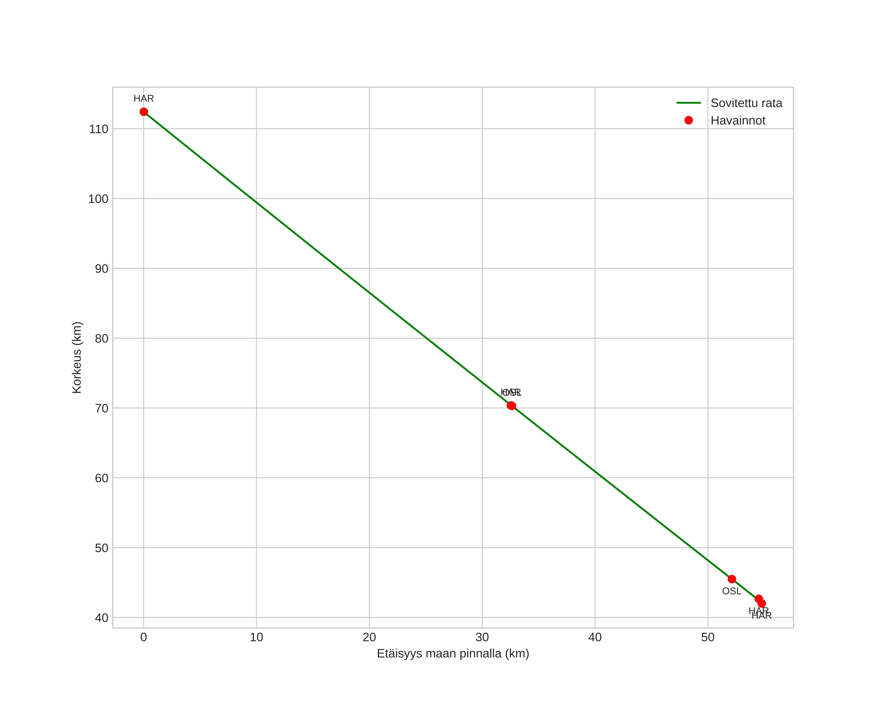
height profile
Meteorin ilmakehärata:
Alkukorkeus: 112,4 km
Loppukorkeus: 42,1 km
Alkupiste: 58,623N 11,320E
Loppupiste: 58,649N 12,266E
Suunta: 86,5°
Kallistuskulma: 52,0°
Tulonopeus: 14,7 km/s
Radiantin R,A,: 19:52 (298,1°)
Radiantin Dekl,: 34,1°
Meteoriparvi: Sporadinen
Meteoroidin rataelementit:
Perihelietäisyys: 0,967 AU
Eksentrisyys: 0,430
Inklinaatio: 12,9°
Nousevan solmun pituus: 262,2°
Perihelin argumentti: 160,3°
Keskianomalia: 7,2°
Epookki: 2015 DEC 14 17:41:29
orbit plot

Ei-interaktiivinen kuvaaja | Interaktiivinen kuvaaja

position vs time
speed and acceleration