🇳🇴 🇬🇧 🇩🇪 🇨🇿 🇫🇮

Meteor, poloha: Utsira 2015-12-14 18:57:18 UTC

Soubor KML  |  InteraktivnĂ­ mapa

Mapa zobrazuje dráhy meteoru. Světlejší čáry ukazují směry od pozorovacích stanic při objevení se meteoru a tmavší čáry, kde byl naposledy viděn. Modrá šipka značí viditelnou dráhu meteoru.

static map
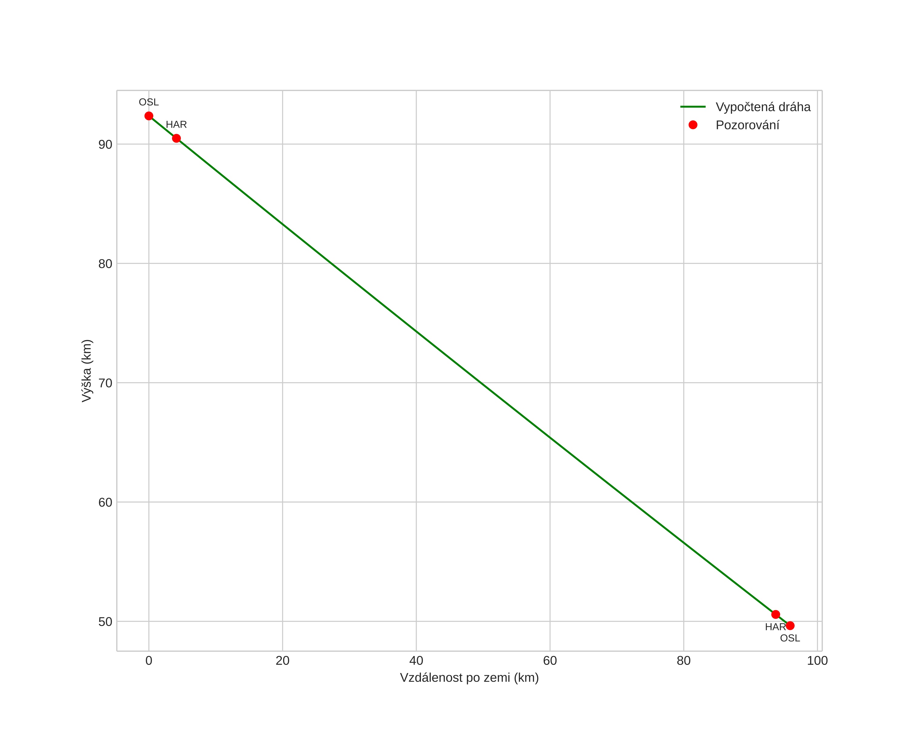
height profile
Atmosférická dráha meteoru:
Počáteční výška: 92,4 km
Konečná výška: 49,6 km
Počáteční poloha: 57,603N 3,737E
Konečná poloha: 57,192N 2,330E
Směr: 242,1°
Sklon: 24,0°
VstupnĂ­ rychlost: 33,9 km/s
Rektascenze radiantu: 07:29 (112,4°)
Deklinace radiantu: 33,5°
MeteorickĂ˝ roj: Geminidy
Elementy dráhy meteoroidu:
Vzdálenost v periheliu: 0,179 AU
Excentricita: 0,857
Sklon dráhy: 21,3°
Délka vzestupného uzlu: 262,2°
Argument perihelia: 320,6°
Střední anomálie: 332,0°
Epocha: 2015 DEC 14 18:57:18
orbit plot

NeinteraktivnĂ­ graf | InteraktivnĂ­ graf

position vs time
speed and acceleration