🇳🇴 🇬🇧 🇩🇪 🇨🇿 🇫🇮

Meteor Utsiran yllä 2015-12-14 18:57:18 UTC

KML-tiedosto  |  Interaktiivinen kartta

Kartta näyttää meteorin suuntahavainnot. Vaaleammat viivat näyttävät suunnat havaintoasemilta meteorin ilmestyessä, ja tummemmat viivat näyttävät, missä se viimeksi nähtiin. Sininen nuoli näyttää meteorin näkyvän lennon.

static map
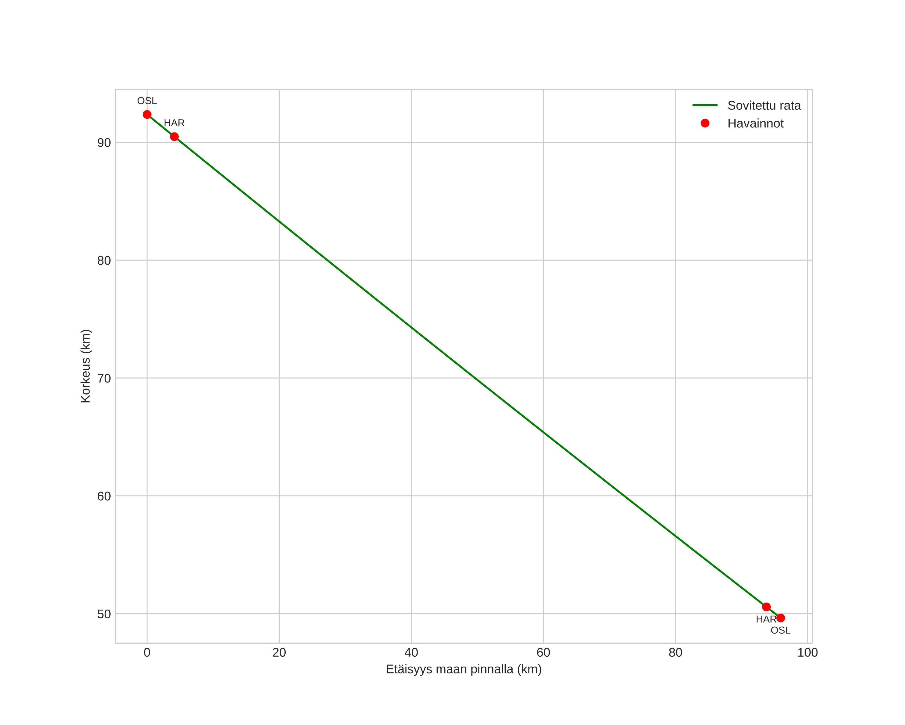
height profile
Meteorin ilmakehärata:
Alkukorkeus: 92,4 km
Loppukorkeus: 49,6 km
Alkupiste: 57,603N 3,737E
Loppupiste: 57,192N 2,330E
Suunta: 242,1°
Kallistuskulma: 24,0°
Tulonopeus: 33,9 km/s
Radiantin R,A,: 07:29 (112,4°)
Radiantin Dekl,: 33,5°
Meteoriparvi: Geminidit
Meteoroidin rataelementit:
Perihelietäisyys: 0,179 AU
Eksentrisyys: 0,857
Inklinaatio: 21,3°
Nousevan solmun pituus: 262,2°
Perihelin argumentti: 320,6°
Keskianomalia: 332,0°
Epookki: 2015 DEC 14 18:57:18
orbit plot

Ei-interaktiivinen kuvaaja | Interaktiivinen kuvaaja

position vs time
speed and acceleration