🇳🇴 🇬🇧 🇩🇪 🇨🇿 🇫🇮

Meteor, poloha: Fjellfoten 2015-12-14 19:02:27 UTC

Soubor KML  |  InteraktivnĂ­ mapa

Mapa zobrazuje dráhy meteoru. Světlejší čáry ukazují směry od pozorovacích stanic při objevení se meteoru a tmavší čáry, kde byl naposledy viděn. Modrá šipka značí viditelnou dráhu meteoru.

static map
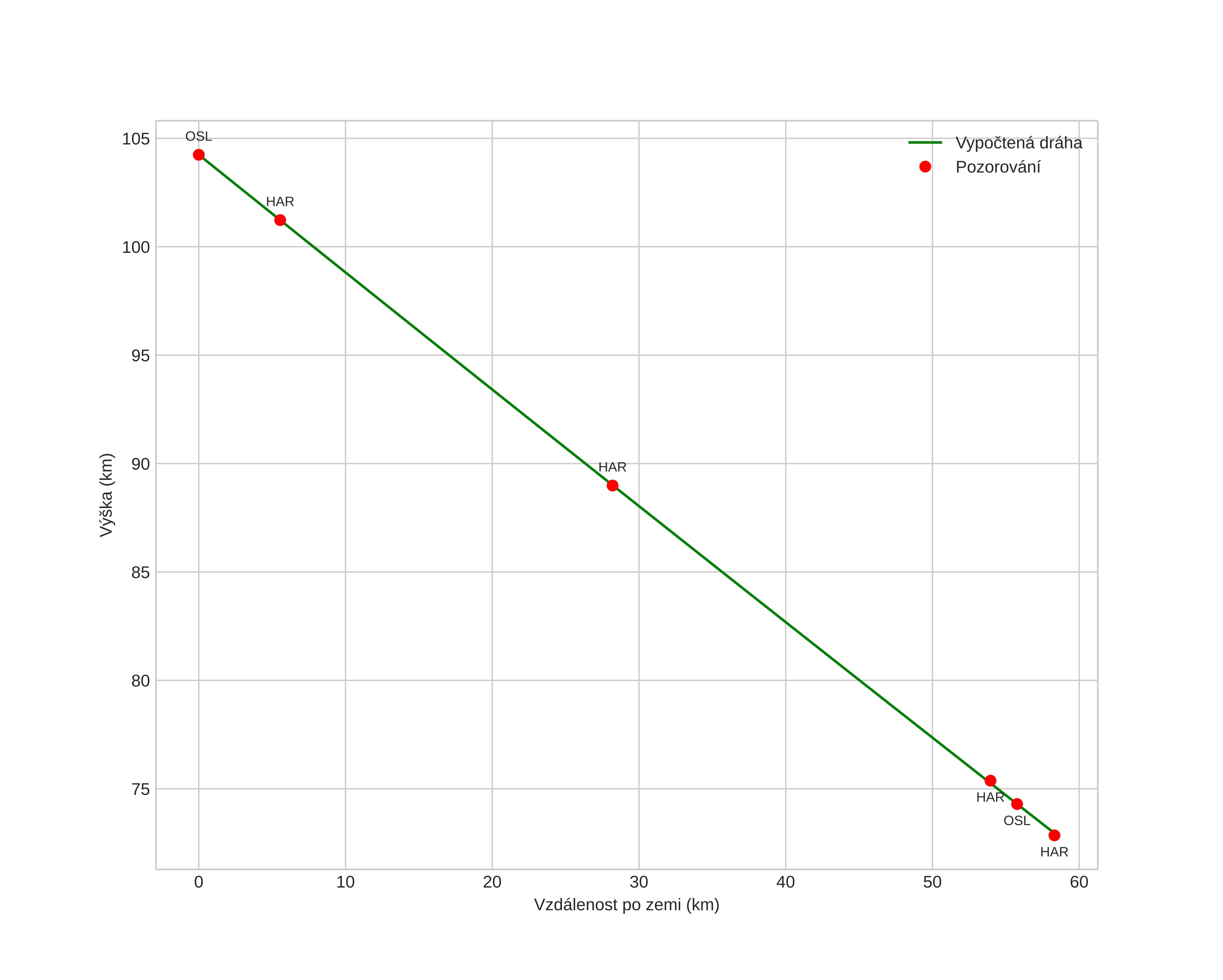
height profile
Atmosférická dráha meteoru:
Počáteční výška: 104,2 km
Konečná výška: 72,9 km
Počáteční poloha: 60,204N 12,586E
Konečná poloha: 60,025N 11,597E
Směr: 250,4°
Sklon: 28,2°
VstupnĂ­ rychlost: 38,9 km/s
Rektascenze radiantu: 07:33 (113,4°)
Deklinace radiantu: 32,8°
MeteorickĂ˝ roj: Geminidy
Elementy dráhy meteoroidu:
Vzdálenost v periheliu: 0,130 AU
Excentricita: 0,924
Sklon dráhy: 27,9°
Délka vzestupného uzlu: 262,2°
Argument perihelia: 323,9°
Střední anomálie: 344,3°
Epocha: 2015 DEC 14 19:02:27
orbit plot

NeinteraktivnĂ­ graf | InteraktivnĂ­ graf

position vs time
speed and acceleration