🇳🇴 🇬🇧 🇩🇪 🇨🇿 🇫🇮

Meteor Fjellfotenin yllä 2015-12-14 19:02:27 UTC

KML-tiedosto  |  Interaktiivinen kartta

Kartta näyttää meteorin suuntahavainnot. Vaaleammat viivat näyttävät suunnat havaintoasemilta meteorin ilmestyessä, ja tummemmat viivat näyttävät, missä se viimeksi nähtiin. Sininen nuoli näyttää meteorin näkyvän lennon.

static map
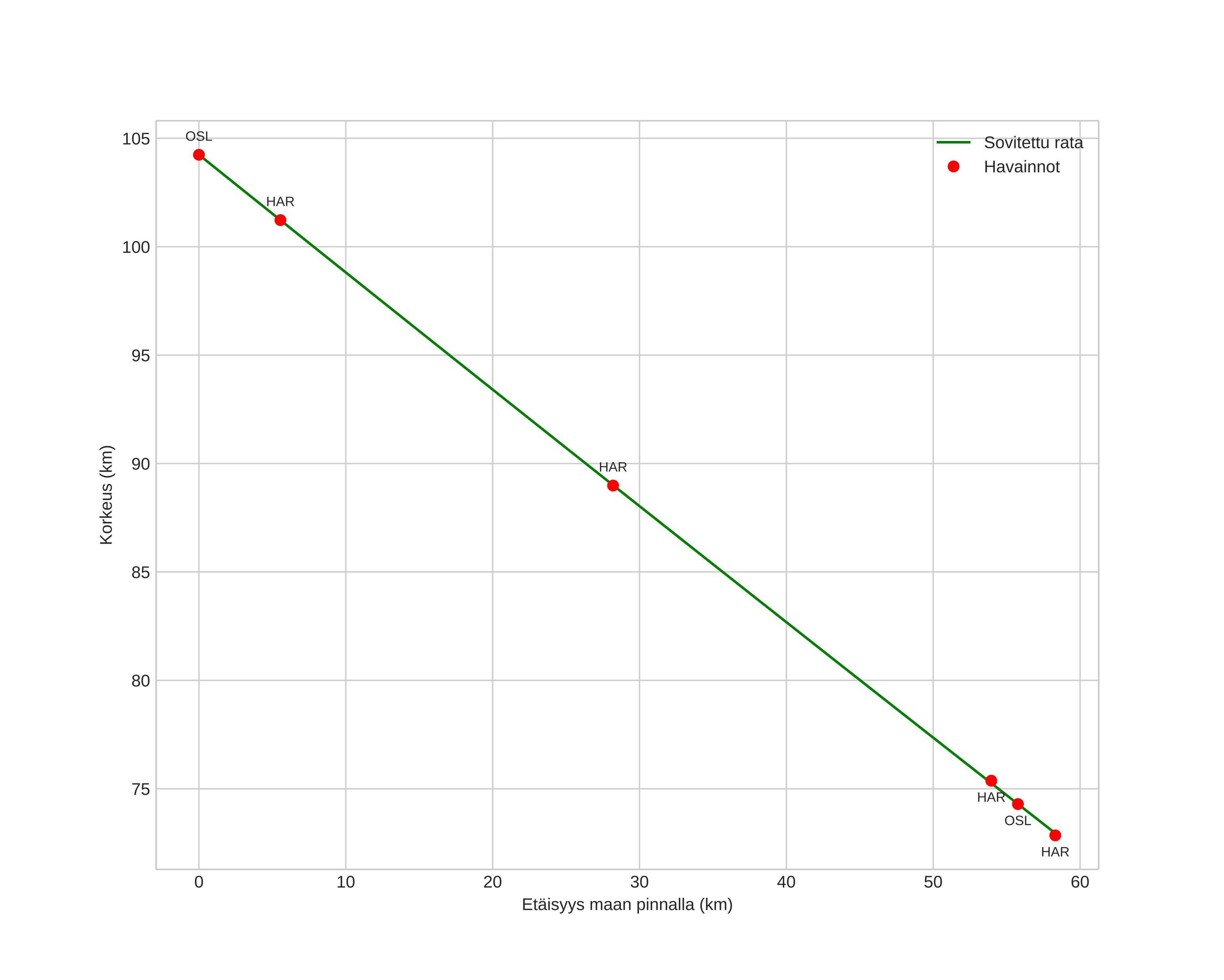
height profile
Meteorin ilmakehärata:
Alkukorkeus: 104,2 km
Loppukorkeus: 72,9 km
Alkupiste: 60,204N 12,586E
Loppupiste: 60,025N 11,597E
Suunta: 250,4°
Kallistuskulma: 28,2°
Tulonopeus: 38,9 km/s
Radiantin R,A,: 07:33 (113,4°)
Radiantin Dekl,: 32,8°
Meteoriparvi: Geminidit
Meteoroidin rataelementit:
Perihelietäisyys: 0,130 AU
Eksentrisyys: 0,924
Inklinaatio: 27,9°
Nousevan solmun pituus: 262,2°
Perihelin argumentti: 323,9°
Keskianomalia: 344,3°
Epookki: 2015 DEC 14 19:02:27
orbit plot

Ei-interaktiivinen kuvaaja | Interaktiivinen kuvaaja

position vs time
speed and acceleration