🇳🇴 🇬🇧 🇩🇪 🇨🇿 🇫🇮

Meteor, poloha: Løten 2015-12-14 19:19:20 UTC

Soubor KML  |  InteraktivnĂ­ mapa

Mapa zobrazuje dráhy meteoru. Světlejší čáry ukazují směry od pozorovacích stanic při objevení se meteoru a tmavší čáry, kde byl naposledy viděn. Modrá šipka značí viditelnou dráhu meteoru.

static map
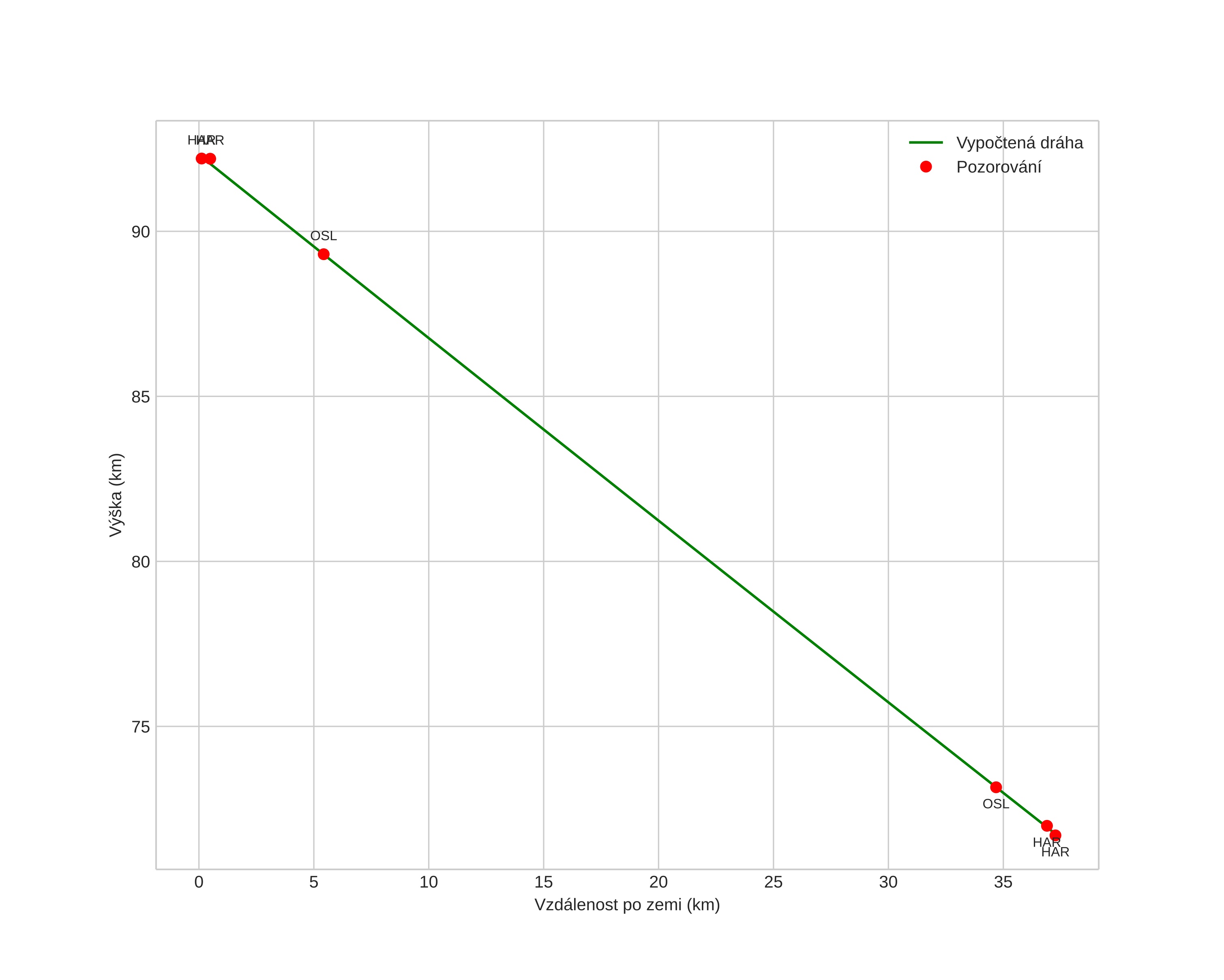
height profile
Atmosférická dráha meteoru:
Počáteční výška: 92,3 km
Konečná výška: 71,7 km
Počáteční poloha: 60,840N 12,127E
Konečná poloha: 60,753N 11,464E
Směr: 255,2°
Sklon: 28,9°
VstupnĂ­ rychlost: 31,1 km/s
Rektascenze radiantu: 07:33 (113,5°)
Deklinace radiantu: 30,4°
MeteorickĂ˝ roj: Geminidy
Elementy dráhy meteoroidu:
Vzdálenost v periheliu: 0,181 AU
Excentricita: 0,825
Sklon dráhy: 14,3°
Délka vzestupného uzlu: 262,2°
Argument perihelia: 323,7°
Střední anomálie: 320,6°
Epocha: 2015 DEC 14 19:19:20
orbit plot

NeinteraktivnĂ­ graf | InteraktivnĂ­ graf

position vs time
speed and acceleration