🇳🇴 🇬🇧 🇩🇪 🇨🇿 🇫🇮

Meteor Løtenin yllä 2015-12-14 19:19:20 UTC

KML-tiedosto  |  Interaktiivinen kartta

Kartta näyttää meteorin suuntahavainnot. Vaaleammat viivat näyttävät suunnat havaintoasemilta meteorin ilmestyessä, ja tummemmat viivat näyttävät, missä se viimeksi nähtiin. Sininen nuoli näyttää meteorin näkyvän lennon.

static map
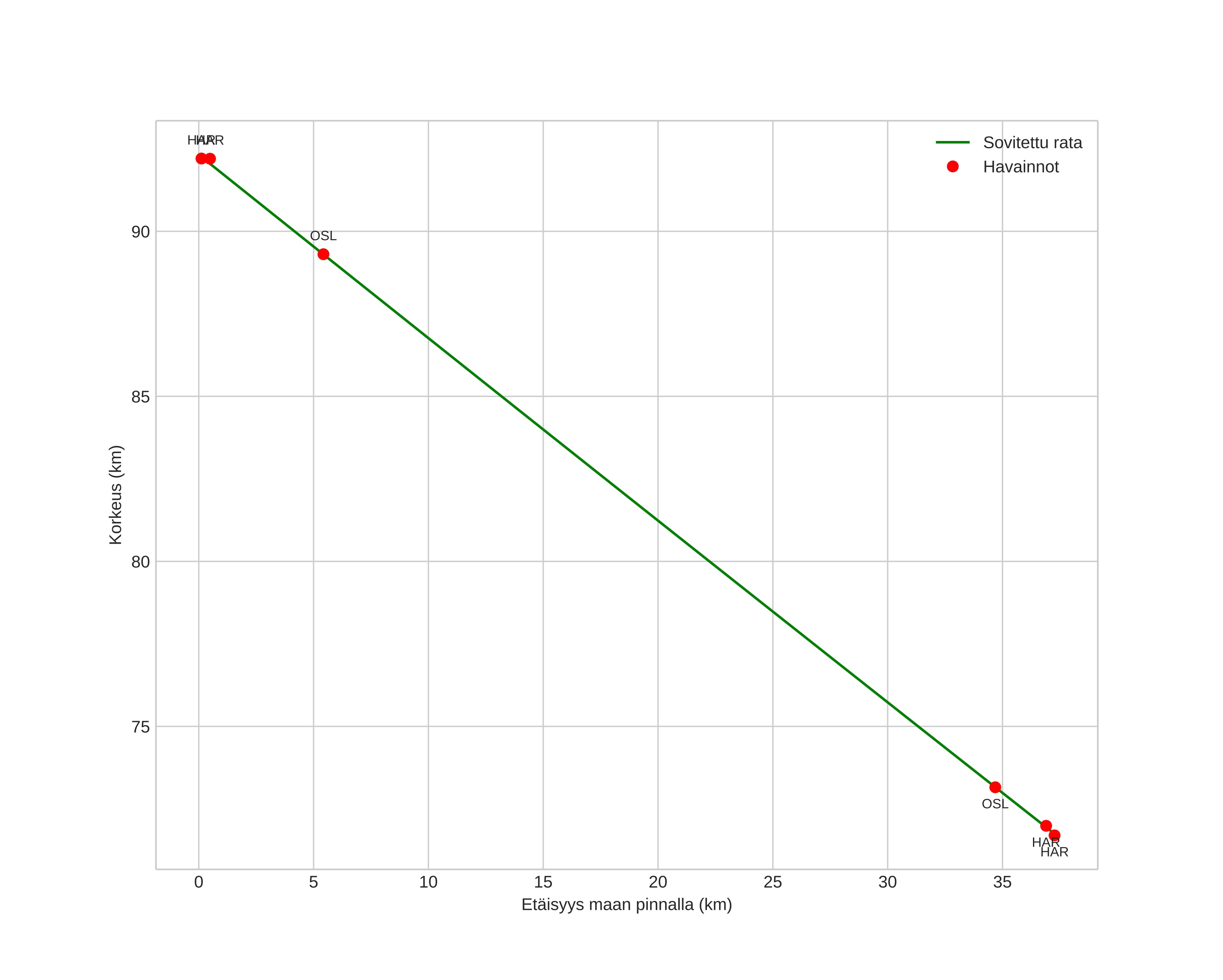
height profile
Meteorin ilmakehärata:
Alkukorkeus: 92,3 km
Loppukorkeus: 71,7 km
Alkupiste: 60,840N 12,127E
Loppupiste: 60,753N 11,464E
Suunta: 255,2°
Kallistuskulma: 28,9°
Tulonopeus: 31,1 km/s
Radiantin R,A,: 07:33 (113,5°)
Radiantin Dekl,: 30,4°
Meteoriparvi: Geminidit
Meteoroidin rataelementit:
Perihelietäisyys: 0,181 AU
Eksentrisyys: 0,825
Inklinaatio: 14,3°
Nousevan solmun pituus: 262,2°
Perihelin argumentti: 323,7°
Keskianomalia: 320,6°
Epookki: 2015 DEC 14 19:19:20
orbit plot

Ei-interaktiivinen kuvaaja | Interaktiivinen kuvaaja

position vs time
speed and acceleration