🇳🇴 🇬🇧 🇩🇪 🇨🇿 🇫🇮

Meteor, poloha: Løten 2015-12-14 19:59:51 UTC

Soubor KML  |  InteraktivnĂ­ mapa

Mapa zobrazuje dráhy meteoru. Světlejší čáry ukazují směry od pozorovacích stanic při objevení se meteoru a tmavší čáry, kde byl naposledy viděn. Modrá šipka značí viditelnou dráhu meteoru.

static map
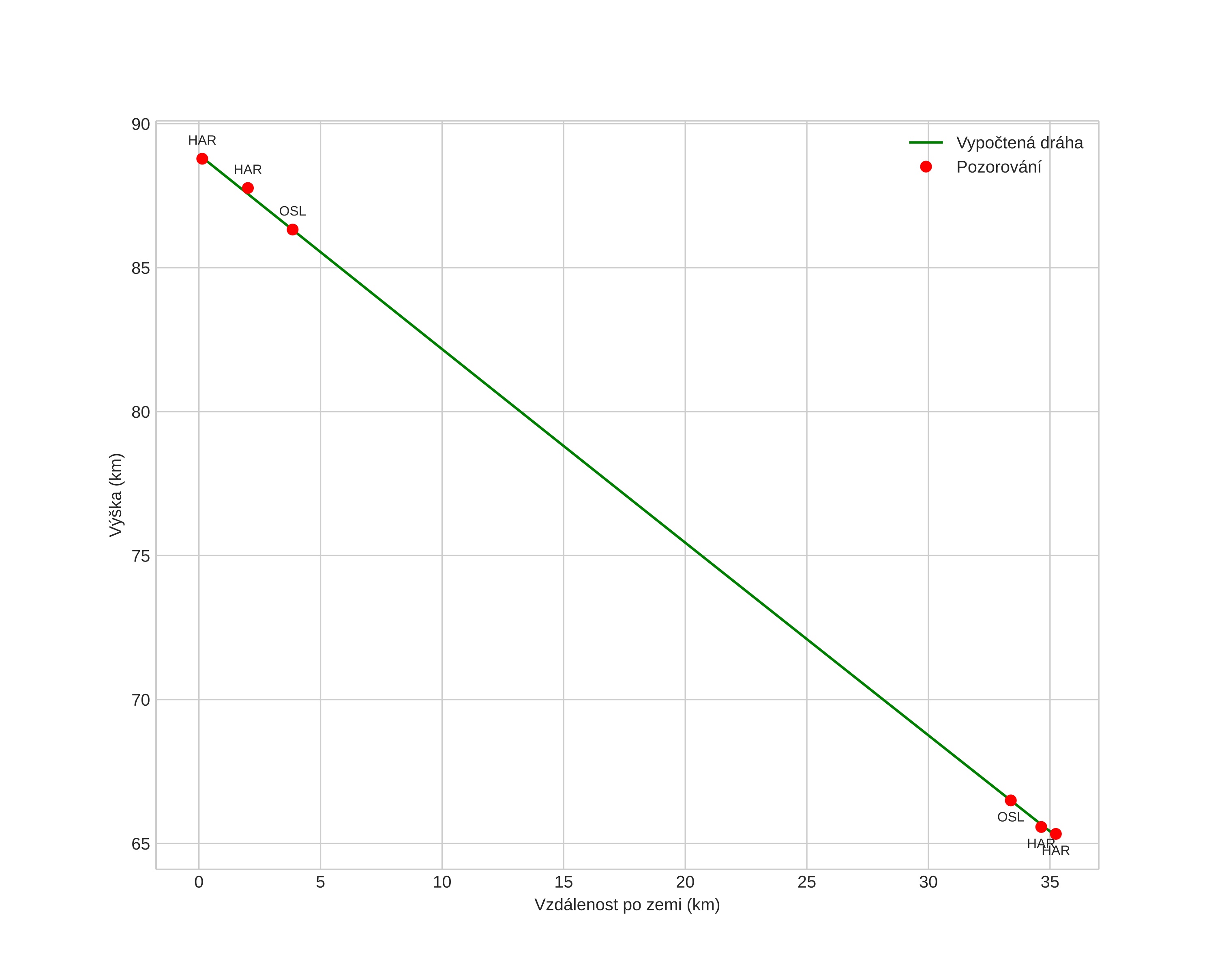
height profile
Atmosférická dráha meteoru:
Počáteční výška: 88,9 km
Konečná výška: 65,3 km
Počáteční poloha: 60,732N 12,074E
Konečná poloha: 60,694N 11,431E
Směr: 263,5°
Sklon: 33,8°
VstupnĂ­ rychlost: 33,9 km/s
Rektascenze radiantu: 07:31 (112,9°)
Deklinace radiantu: 30,9°
MeteorickĂ˝ roj: Geminidy
Elementy dráhy meteoroidu:
Vzdálenost v periheliu: 0,160 AU
Excentricita: 0,866
Sklon dráhy: 17,5°
Délka vzestupného uzlu: 262,3°
Argument perihelia: 323,6°
Střední anomálie: 330,2°
Epocha: 2015 DEC 14 19:59:51
orbit plot

NeinteraktivnĂ­ graf | InteraktivnĂ­ graf

position vs time
speed and acceleration