🇳🇴 🇬🇧 🇩🇪 🇨🇿 🇫🇮

Meteor Løtenin yllä 2015-12-14 19:59:51 UTC

KML-tiedosto  |  Interaktiivinen kartta

Kartta näyttää meteorin suuntahavainnot. Vaaleammat viivat näyttävät suunnat havaintoasemilta meteorin ilmestyessä, ja tummemmat viivat näyttävät, missä se viimeksi nähtiin. Sininen nuoli näyttää meteorin näkyvän lennon.

static map
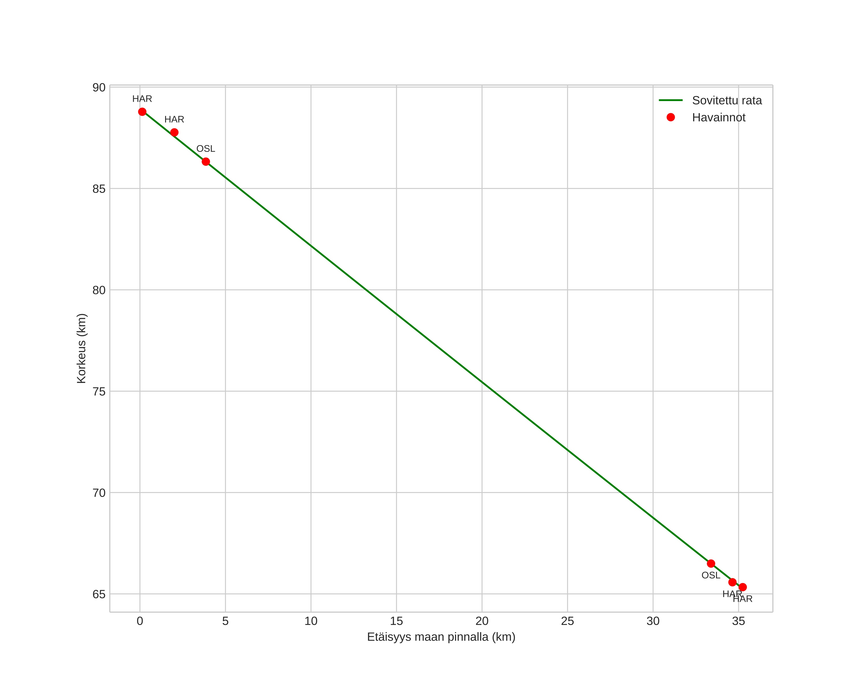
height profile
Meteorin ilmakehärata:
Alkukorkeus: 88,9 km
Loppukorkeus: 65,3 km
Alkupiste: 60,732N 12,074E
Loppupiste: 60,694N 11,431E
Suunta: 263,5°
Kallistuskulma: 33,8°
Tulonopeus: 33,9 km/s
Radiantin R,A,: 07:31 (112,9°)
Radiantin Dekl,: 30,9°
Meteoriparvi: Geminidit
Meteoroidin rataelementit:
Perihelietäisyys: 0,160 AU
Eksentrisyys: 0,866
Inklinaatio: 17,5°
Nousevan solmun pituus: 262,3°
Perihelin argumentti: 323,6°
Keskianomalia: 330,2°
Epookki: 2015 DEC 14 19:59:51
orbit plot

Ei-interaktiivinen kuvaaja | Interaktiivinen kuvaaja

position vs time
speed and acceleration