🇳🇴 🇬🇧 🇩🇪 🇨🇿 🇫🇮

Meteor, poloha: Aursmoen 2015-12-14 20:17:20 UTC

Solobservatoriet – 3
Solobservatoriet – 3
Solobservatoriet – 4
Solobservatoriet – 4
Voksenlia – 3
Voksenlia – 3

Soubor KML  | Interaktivní mapa

map

Mapa zobrazuje dráhy meteoru. Světlejší čáry ukazují směry od pozorovacích stanic při objevení se meteoru a tmavší čáry, kde byl naposledy viděn. Modrá šipka značí viditelnou dráhu meteoru.

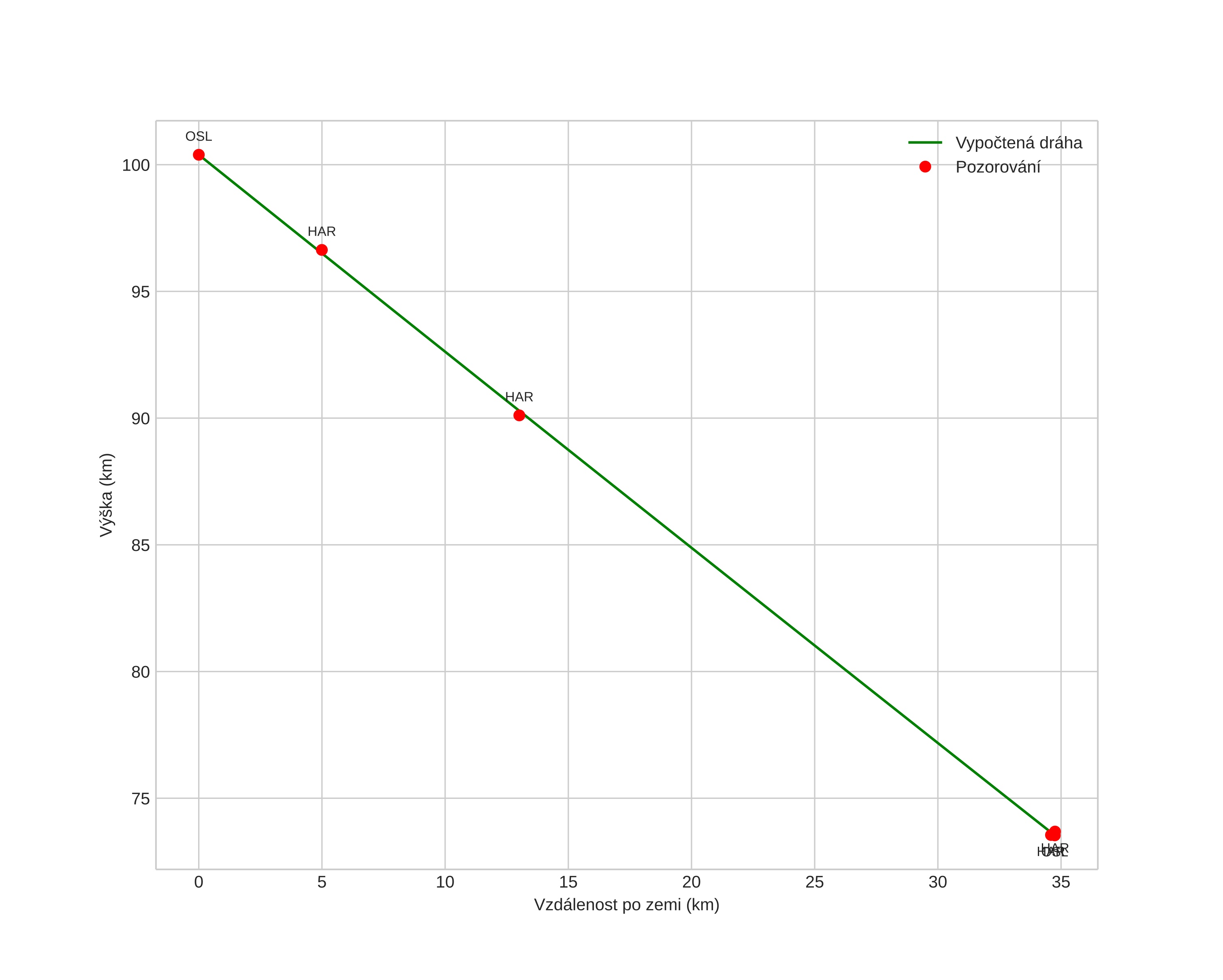
height profile
Atmosférická dráha meteoru:
Počáteční výška: 100,4 km
Konečná výška: 73,5 km
Počáteční poloha: 59,866N 12,063E
Konečná poloha: 59,843N 11,443E
Směr: 266,0°
Sklon: 37,7°
Vstupní rychlost: 41,5 km/s
Rektascenze radiantu: 07:26 (111,6°)
Deklinace radiantu: 33,2°
Meteorický roj: Geminidy
Elementy dráhy meteoroidu:
Vzdálenost v periheliu: 0,129 AU
Excentricita: 0,953
Sklon dráhy: 30,2°
Délka vzestupného uzlu: 262,3°
Argument perihelia: 321,3°
Střední anomálie: 352,6°
Epocha: 2015 DEC 14 20:17:20
orbit

Neinteraktivní graf | Interaktivní graf

position vs time
speed & acceleration