🇳🇴 🇬🇧 🇩🇪 🇨🇿 🇫🇮

Meteor über Aursmoen 2015-12-14 20:17:20 UTC

Solobservatoriet – 3
Solobservatoriet – 3
Solobservatoriet – 4
Solobservatoriet – 4
Voksenlia – 3
Voksenlia – 3

KML-Datei  | Interaktive Karte

map

Die Karte zeigt die Peilungen für den Meteor. Die helleren Linien zeigen die Richtungen von den Beobachtungsorten beim Erscheinen des Meteors, und die dunkleren Linien, wo er zuletzt gesehen wurde. Der blaue Pfeil zeigt die sichtbare Bahn des Meteors.

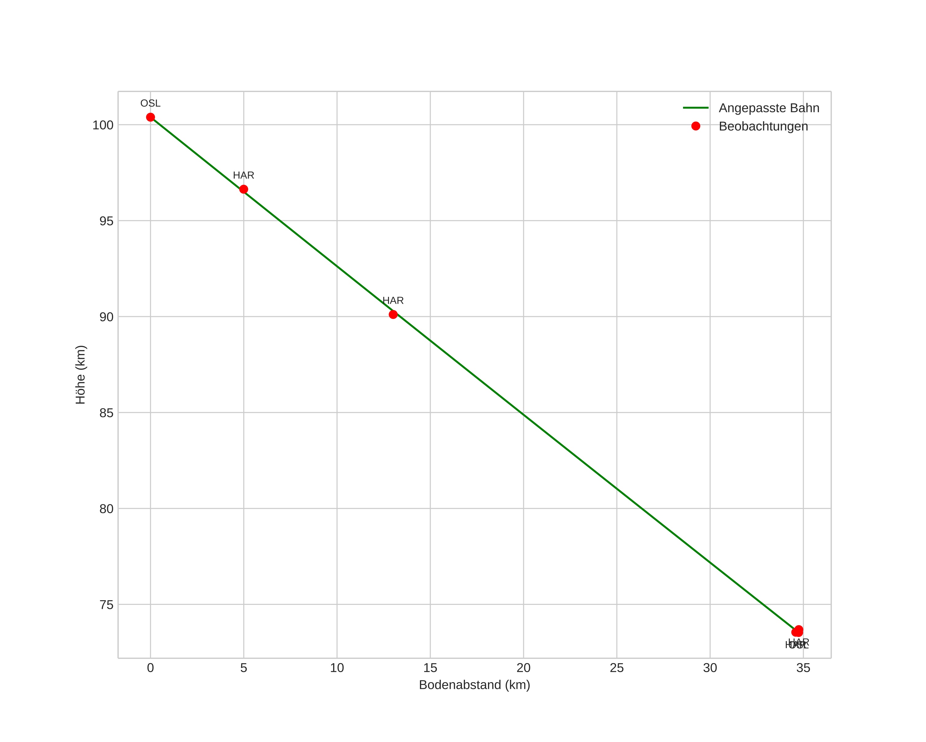
height profile
Atmosphärische Bahn des Meteors:
Anfangshöhe: 100,4 km
Endhöhe: 73,5 km
Startposition: 59,866N 12,063E
Endposition: 59,843N 11,443E
Richtung: 266,0°
Neigungswinkel: 37,7°
Eintrittsgeschwindigkeit: 41,5 km/s
Rektaszension des Radianten: 07:26 (111,6°)
Deklination des Radianten: 33,2°
Meteorstrom: Geminiden
Bahnelemente des Meteoroiden:
Periheldistanz: 0,129 AU
Exzentrizität: 0,953
Inklination: 30,2°
Länge des aufsteigenden Knotens: 262,3°
Argument des Perihels: 321,3°
Mittlere Anomalie: 352,6°
Epoche: 2015 DEC 14 20:17:20
orbit

Nicht-interaktives Diagramm | Interaktives Diagramm

position vs time
speed & acceleration