🇳🇴 🇬🇧 🇩🇪 🇨🇿 🇫🇮

Meteor, poloha: Stavern 2015-12-14 20:36:45 UTC

Soubor KML  |  InteraktivnĂ­ mapa

Mapa zobrazuje dráhy meteoru. Světlejší čáry ukazují směry od pozorovacích stanic při objevení se meteoru a tmavší čáry, kde byl naposledy viděn. Modrá šipka značí viditelnou dráhu meteoru.

static map
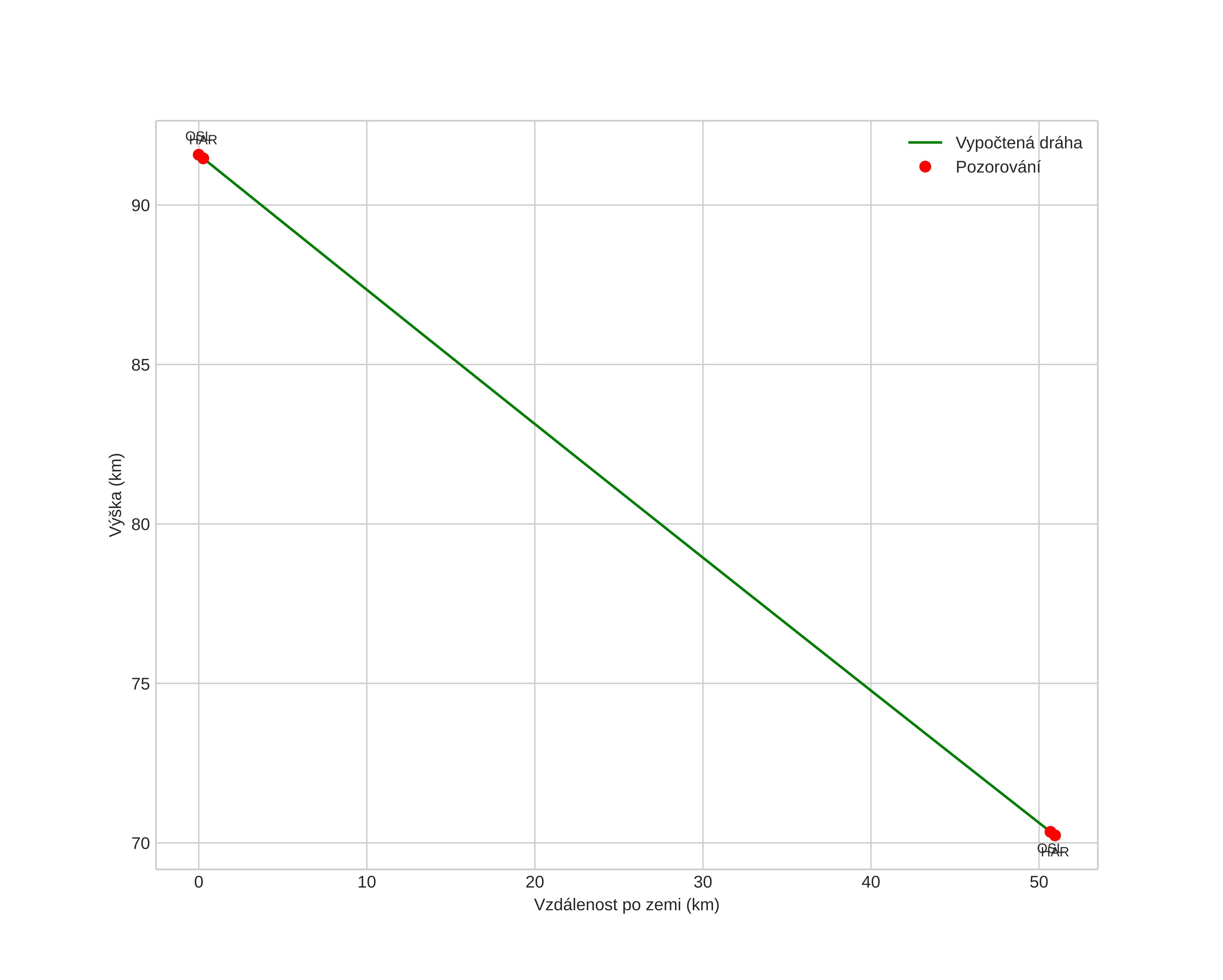
height profile
Atmosférická dráha meteoru:
Počáteční výška: 91,6 km
Konečná výška: 70,2 km
Počáteční poloha: 58,393N 10,737E
Konečná poloha: 58,555N 9,917E
Směr: 291,0°
Sklon: 22,8°
VstupnĂ­ rychlost: 39,3 km/s
Rektascenze radiantu: 06:56 (104,0°)
Deklinace radiantu: 7,6°
MeteorickĂ˝ roj: Monocerotidy
Elementy dráhy meteoroidu:
Vzdálenost v periheliu: 0,211 AU
Excentricita: 0,931
Sklon dráhy: 30,4°
Délka vzestupného uzlu: 82,3°
Argument perihelia: 129,1°
Střední anomálie: 353,2°
Epocha: 2015 DEC 14 20:36:45
orbit plot

NeinteraktivnĂ­ graf | InteraktivnĂ­ graf

position vs time
speed and acceleration