🇳🇴 🇬🇧 🇩🇪 🇨🇿 🇫🇮

Meteor Stavernin yllä 2015-12-14 20:36:45 UTC

KML-tiedosto  |  Interaktiivinen kartta

Kartta näyttää meteorin suuntahavainnot. Vaaleammat viivat näyttävät suunnat havaintoasemilta meteorin ilmestyessä, ja tummemmat viivat näyttävät, missä se viimeksi nähtiin. Sininen nuoli näyttää meteorin näkyvän lennon.

static map
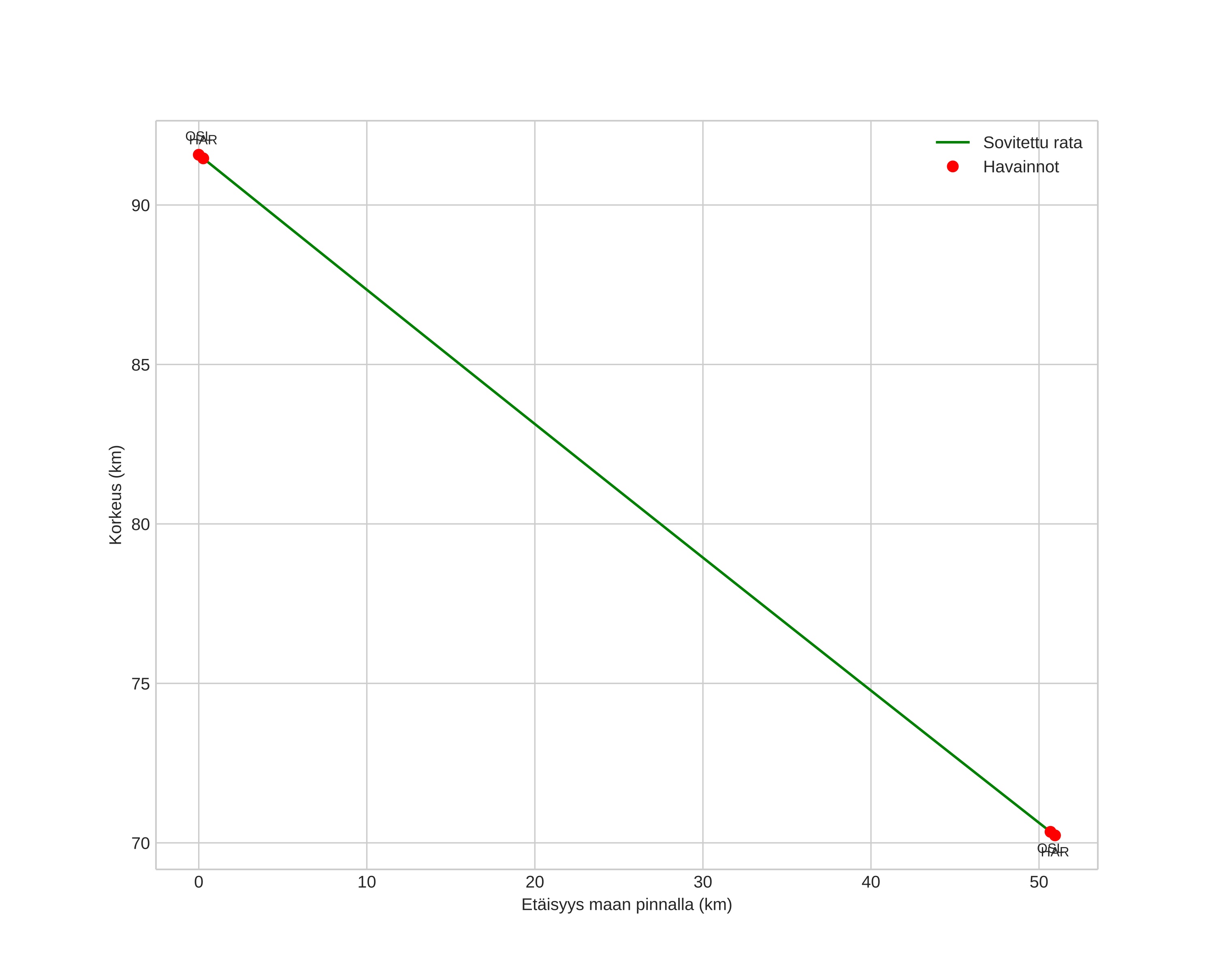
height profile
Meteorin ilmakehärata:
Alkukorkeus: 91,6 km
Loppukorkeus: 70,2 km
Alkupiste: 58,393N 10,737E
Loppupiste: 58,555N 9,917E
Suunta: 291,0°
Kallistuskulma: 22,8°
Tulonopeus: 39,3 km/s
Radiantin R,A,: 06:56 (104,0°)
Radiantin Dekl,: 7,6°
Meteoriparvi: Monoserotidit
Meteoroidin rataelementit:
Perihelietäisyys: 0,211 AU
Eksentrisyys: 0,931
Inklinaatio: 30,4°
Nousevan solmun pituus: 82,3°
Perihelin argumentti: 129,1°
Keskianomalia: 353,2°
Epookki: 2015 DEC 14 20:36:45
orbit plot

Ei-interaktiivinen kuvaaja | Interaktiivinen kuvaaja

position vs time
speed and acceleration