🇳🇴 🇬🇧 🇩🇪 🇨🇿 🇫🇮

Meteor, poloha: Sand 2015-12-14 20:46:16 UTC

Soubor KML  |  InteraktivnĂ­ mapa

Mapa zobrazuje dráhy meteoru. Světlejší čáry ukazují směry od pozorovacích stanic při objevení se meteoru a tmavší čáry, kde byl naposledy viděn. Modrá šipka značí viditelnou dráhu meteoru.

static map
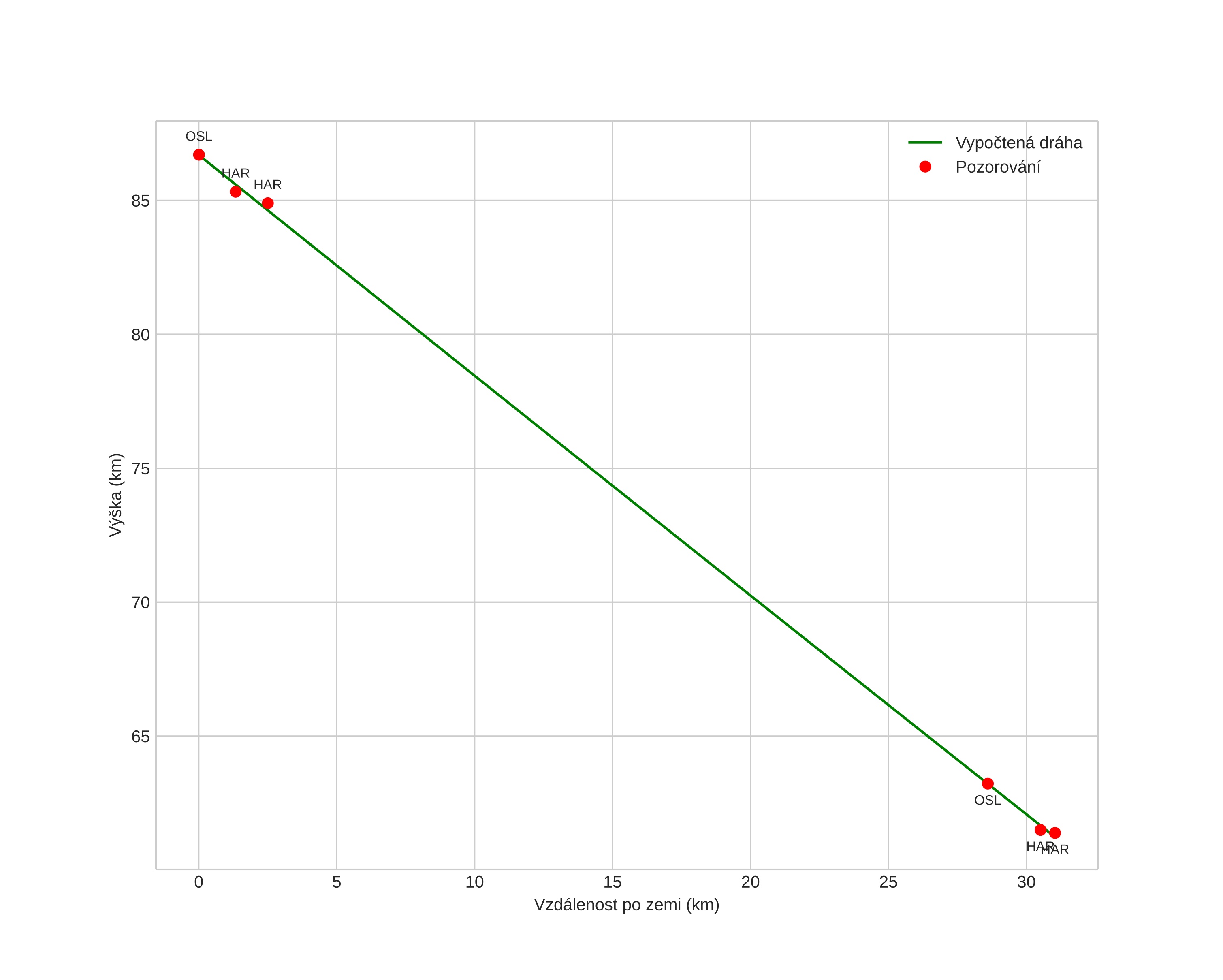
height profile
Atmosférická dráha meteoru:
Počáteční výška: 86,7 km
Konečná výška: 61,3 km
Počáteční poloha: 60,418N 12,216E
Konečná poloha: 60,428N 11,653E
Směr: 272,3°
Sklon: 39,4°
VstupnĂ­ rychlost: 29,4 km/s
Rektascenze radiantu: 07:36 (114,0°)
Deklinace radiantu: 30,9°
MeteorickĂ˝ roj: Geminidy
Elementy dráhy meteoroidu:
Vzdálenost v periheliu: 0,199 AU
Excentricita: 0,795
Sklon dráhy: 13,8°
Délka vzestupného uzlu: 262,3°
Argument perihelia: 323,3°
Střední anomálie: 314,4°
Epocha: 2015 DEC 14 20:46:16
orbit plot

NeinteraktivnĂ­ graf | InteraktivnĂ­ graf

position vs time
speed and acceleration