🇳🇴 🇬🇧 🇩🇪 🇨🇿 🇫🇮

Meteor Sandin yllä 2015-12-14 20:46:16 UTC

KML-tiedosto  |  Interaktiivinen kartta

Kartta näyttää meteorin suuntahavainnot. Vaaleammat viivat näyttävät suunnat havaintoasemilta meteorin ilmestyessä, ja tummemmat viivat näyttävät, missä se viimeksi nähtiin. Sininen nuoli näyttää meteorin näkyvän lennon.

static map
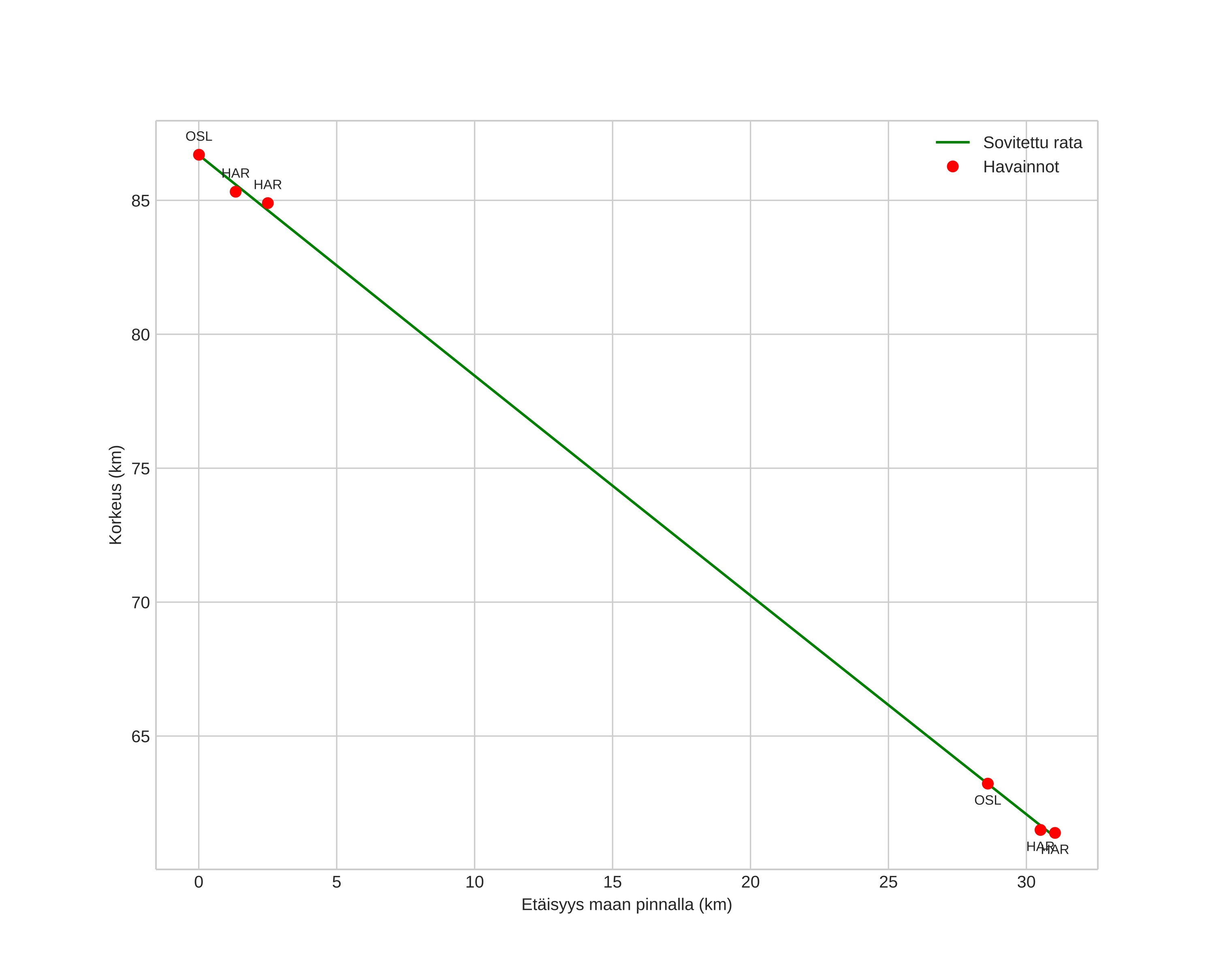
height profile
Meteorin ilmakehärata:
Alkukorkeus: 86,7 km
Loppukorkeus: 61,3 km
Alkupiste: 60,418N 12,216E
Loppupiste: 60,428N 11,653E
Suunta: 272,3°
Kallistuskulma: 39,4°
Tulonopeus: 29,4 km/s
Radiantin R,A,: 07:36 (114,0°)
Radiantin Dekl,: 30,9°
Meteoriparvi: Geminidit
Meteoroidin rataelementit:
Perihelietäisyys: 0,199 AU
Eksentrisyys: 0,795
Inklinaatio: 13,8°
Nousevan solmun pituus: 262,3°
Perihelin argumentti: 323,3°
Keskianomalia: 314,4°
Epookki: 2015 DEC 14 20:46:16
orbit plot

Ei-interaktiivinen kuvaaja | Interaktiivinen kuvaaja

position vs time
speed and acceleration