🇳🇴 🇬🇧 🇩🇪 🇨🇿 🇫🇮

Meteor, poloha: Halden 2015-12-14 20:47:40 UTC

Soubor KML  |  InteraktivnĂ­ mapa

Mapa zobrazuje dráhy meteoru. Světlejší čáry ukazují směry od pozorovacích stanic při objevení se meteoru a tmavší čáry, kde byl naposledy viděn. Modrá šipka značí viditelnou dráhu meteoru.

static map
height profile
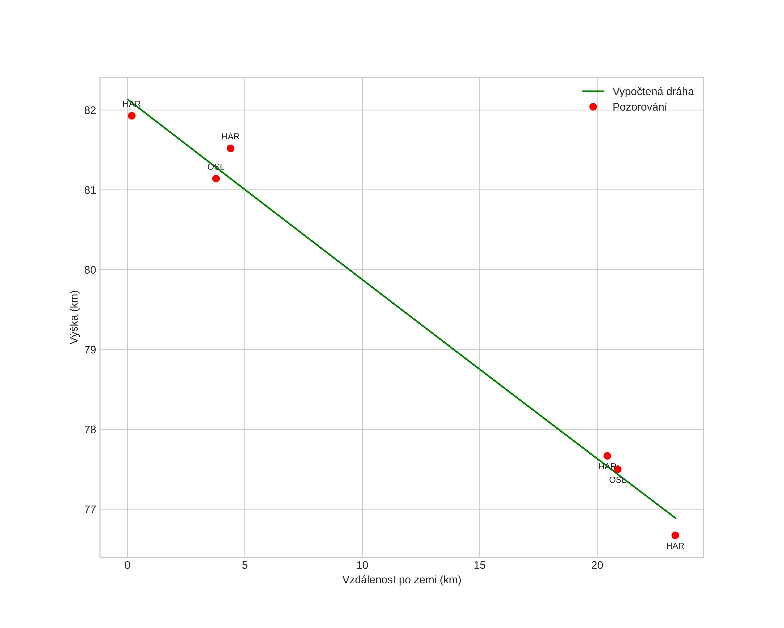
Atmosférická dráha meteoru:
Počáteční výška: 82,1 km
Konečná výška: 76,9 km
Počáteční poloha: 59,284N 11,669E
Konečná poloha: 59,123N 11,404E
Směr: 220,4°
Sklon: 12,5°
VstupnĂ­ rychlost: 26,3 km/s
Rektascenze radiantu: 11:55 (178,9°)
Deklinace radiantu: 30,6°
MeteorickĂ˝ roj: sporadickĂ˝
Elementy dráhy meteoroidu:
Vzdálenost v periheliu: 0,128 AU
Excentricita: 0,771
Sklon dráhy: 49,2°
Délka vzestupného uzlu: 262,3°
Argument perihelia: 357,0°
Střední anomálie: 194,9°
Epocha: 2015 DEC 14 20:47:40
orbit plot

NeinteraktivnĂ­ graf | InteraktivnĂ­ graf

position vs time
speed and acceleration