🇳🇴 🇬🇧 🇩🇪 🇨🇿 🇫🇮

Meteor Haldenin yllä 2015-12-14 20:47:40 UTC

KML-tiedosto  |  Interaktiivinen kartta

Kartta näyttää meteorin suuntahavainnot. Vaaleammat viivat näyttävät suunnat havaintoasemilta meteorin ilmestyessä, ja tummemmat viivat näyttävät, missä se viimeksi nähtiin. Sininen nuoli näyttää meteorin näkyvän lennon.

static map
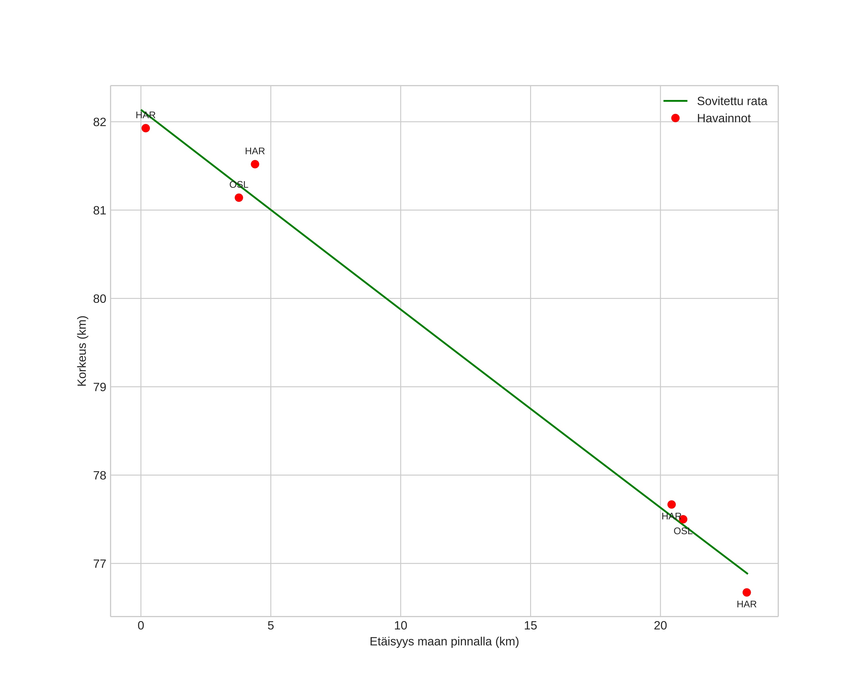
height profile
Meteorin ilmakehärata:
Alkukorkeus: 82,1 km
Loppukorkeus: 76,9 km
Alkupiste: 59,284N 11,669E
Loppupiste: 59,123N 11,404E
Suunta: 220,4°
Kallistuskulma: 12,5°
Tulonopeus: 26,3 km/s
Radiantin R,A,: 11:55 (178,9°)
Radiantin Dekl,: 30,6°
Meteoriparvi: Sporadinen
Meteoroidin rataelementit:
Perihelietäisyys: 0,128 AU
Eksentrisyys: 0,771
Inklinaatio: 49,2°
Nousevan solmun pituus: 262,3°
Perihelin argumentti: 357,0°
Keskianomalia: 194,9°
Epookki: 2015 DEC 14 20:47:40
orbit plot

Ei-interaktiivinen kuvaaja | Interaktiivinen kuvaaja

position vs time
speed and acceleration