🇳🇴 🇬🇧 🇩🇪 🇨🇿 🇫🇮

Meteor, poloha: Skagen 2015-12-14 21:57:16 UTC

Soubor KML  |  InteraktivnĂ­ mapa

Mapa zobrazuje dráhy meteoru. Světlejší čáry ukazují směry od pozorovacích stanic při objevení se meteoru a tmavší čáry, kde byl naposledy viděn. Modrá šipka značí viditelnou dráhu meteoru.

static map
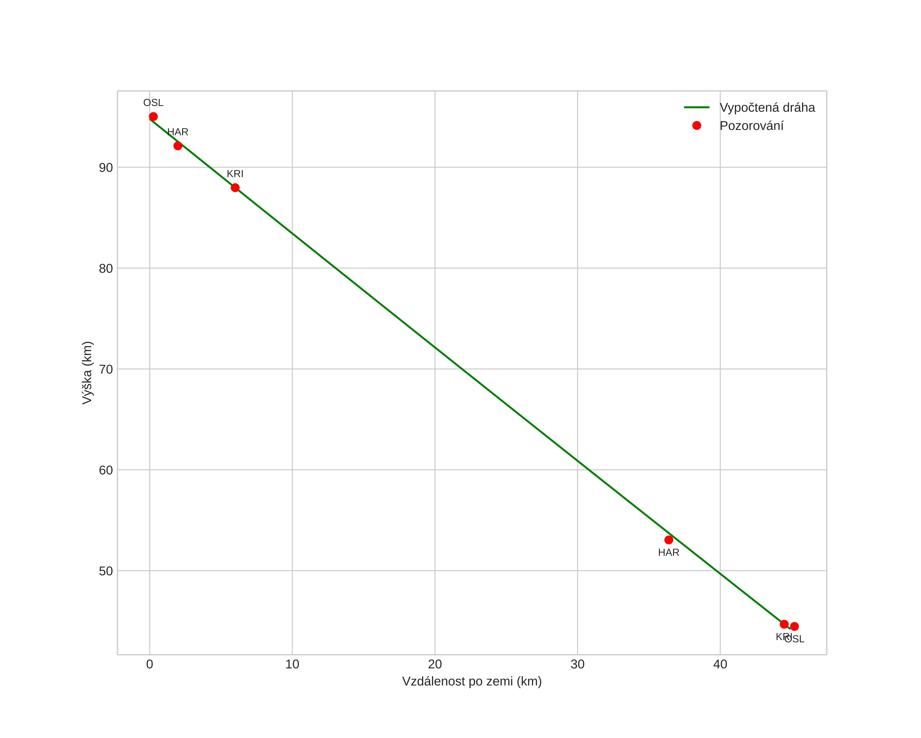
height profile
Atmosférická dráha meteoru:
Počáteční výška: 94,8 km
Konečná výška: 44,2 km
Počáteční poloha: 58,068N 11,040E
Konečná poloha: 58,166N 10,298E
Směr: 284,4°
Sklon: 48,4°
VstupnĂ­ rychlost: 36,4 km/s
Rektascenze radiantu: 07:35 (113,8°)
Deklinace radiantu: 32,4°
MeteorickĂ˝ roj: Geminidy
Elementy dráhy meteoroidu:
Vzdálenost v periheliu: 0,143 AU
Excentricita: 0,896
Sklon dráhy: 24,0°
Délka vzestupného uzlu: 262,4°
Argument perihelia: 324,1°
Střední anomálie: 337,1°
Epocha: 2015 DEC 14 21:57:16
orbit plot

NeinteraktivnĂ­ graf | InteraktivnĂ­ graf

position vs time
speed and acceleration