🇳🇴 🇬🇧 🇩🇪 🇨🇿 🇫🇮

Meteor Skagenin yllä 2015-12-14 21:57:16 UTC

KML-tiedosto  |  Interaktiivinen kartta

Kartta näyttää meteorin suuntahavainnot. Vaaleammat viivat näyttävät suunnat havaintoasemilta meteorin ilmestyessä, ja tummemmat viivat näyttävät, missä se viimeksi nähtiin. Sininen nuoli näyttää meteorin näkyvän lennon.

static map
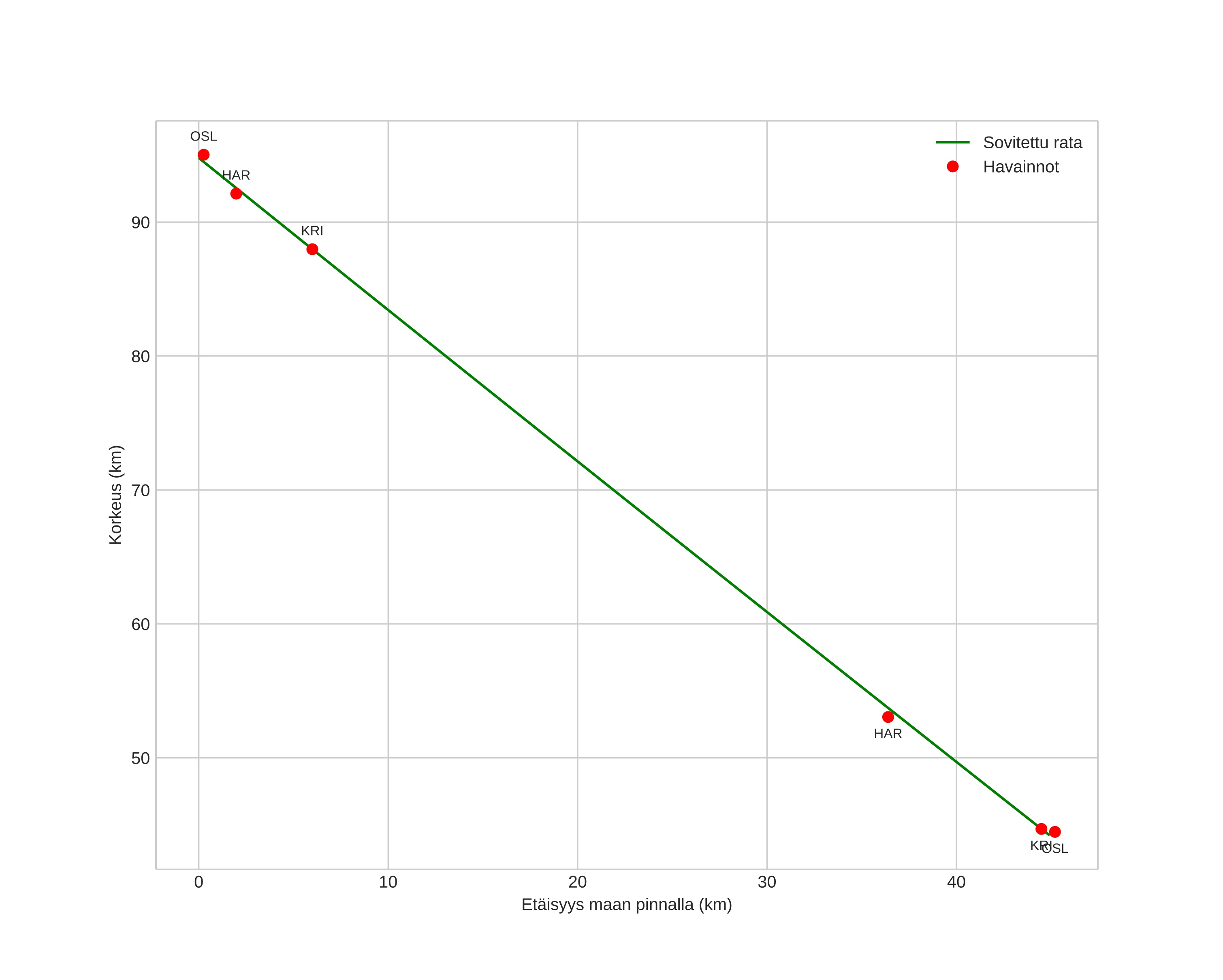
height profile
Meteorin ilmakehärata:
Alkukorkeus: 94,8 km
Loppukorkeus: 44,2 km
Alkupiste: 58,068N 11,040E
Loppupiste: 58,166N 10,298E
Suunta: 284,4°
Kallistuskulma: 48,4°
Tulonopeus: 36,4 km/s
Radiantin R,A,: 07:35 (113,8°)
Radiantin Dekl,: 32,4°
Meteoriparvi: Geminidit
Meteoroidin rataelementit:
Perihelietäisyys: 0,143 AU
Eksentrisyys: 0,896
Inklinaatio: 24,0°
Nousevan solmun pituus: 262,4°
Perihelin argumentti: 324,1°
Keskianomalia: 337,1°
Epookki: 2015 DEC 14 21:57:16
orbit plot

Ei-interaktiivinen kuvaaja | Interaktiivinen kuvaaja

position vs time
speed and acceleration