🇳🇴 🇬🇧 🇩🇪 🇨🇿 🇫🇮

Meteor, poloha: Lervik 2015-12-14 22:05:23 UTC

Soubor KML  |  InteraktivnĂ­ mapa

Mapa zobrazuje dráhy meteoru. Světlejší čáry ukazují směry od pozorovacích stanic při objevení se meteoru a tmavší čáry, kde byl naposledy viděn. Modrá šipka značí viditelnou dráhu meteoru.

static map
height profile
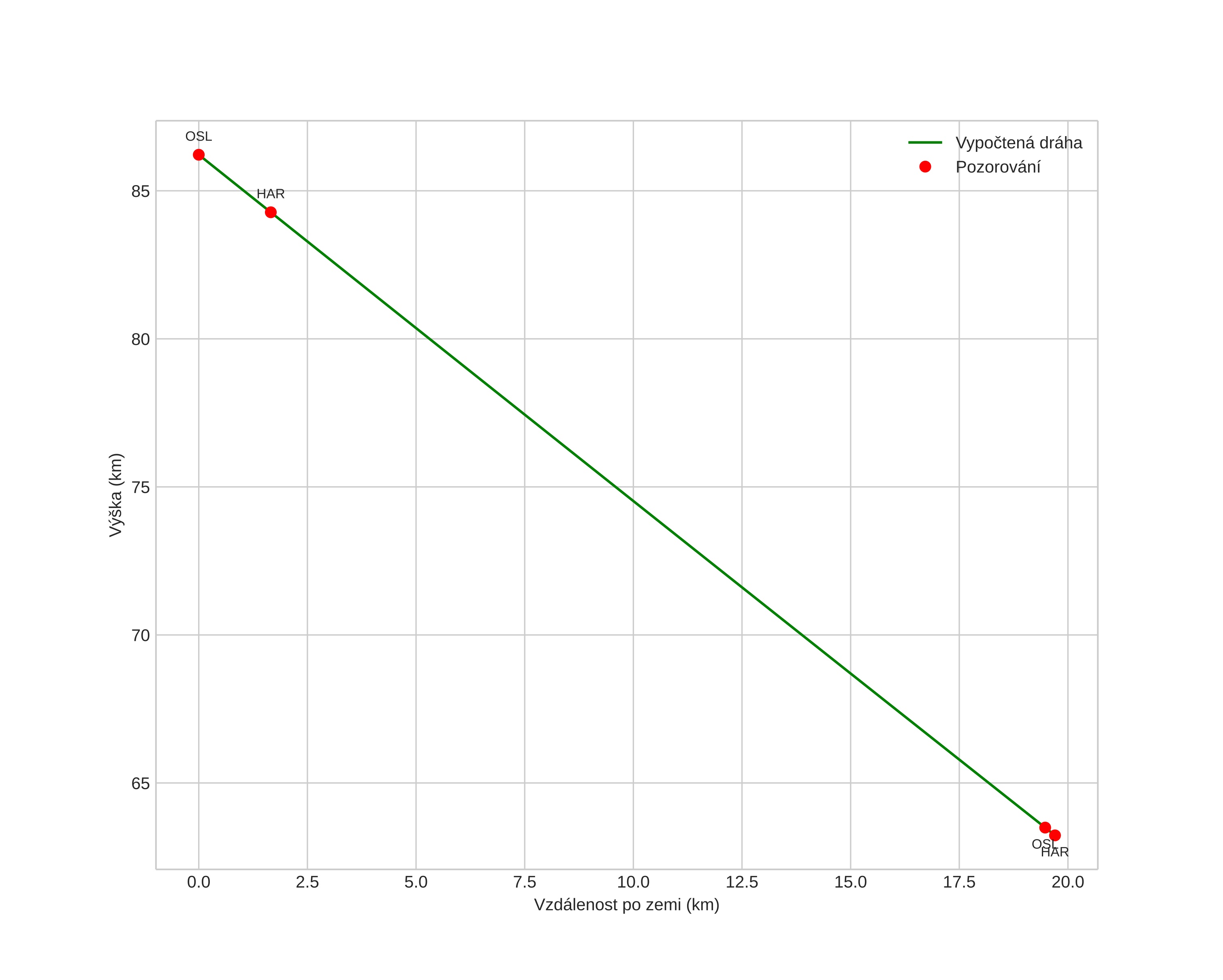
Atmosférická dráha meteoru:
Počáteční výška: 86,2 km
Konečná výška: 63,2 km
Počáteční poloha: 59,133N 11,092E
Konečná poloha: 59,187N 10,763E
Směr: 287,7°
Sklon: 49,4°
VstupnĂ­ rychlost: 30,5 km/s
Rektascenze radiantu: 07:35 (113,9°)
Deklinace radiantu: 32,3°
MeteorickĂ˝ roj: Geminidy
Elementy dráhy meteoroidu:
Vzdálenost v periheliu: 0,195 AU
Excentricita: 0,809
Sklon dráhy: 16,7°
Délka vzestupného uzlu: 262,4°
Argument perihelia: 322,5°
Střední anomálie: 318,9°
Epocha: 2015 DEC 14 22:05:23
orbit plot

NeinteraktivnĂ­ graf | InteraktivnĂ­ graf

position vs time
speed and acceleration