🇳🇴 🇬🇧 🇩🇪 🇨🇿 🇫🇮

Meteor über Lervik 2015-12-14 22:05:23 UTC

KML-Datei  |  Interaktive Karte

Die Karte zeigt die Peilungen für den Meteor. Die helleren Linien zeigen die Richtungen von den Beobachtungsorten beim Erscheinen des Meteors, und die dunkleren Linien, wo er zuletzt gesehen wurde. Der blaue Pfeil zeigt die sichtbare Bahn des Meteors.

static map
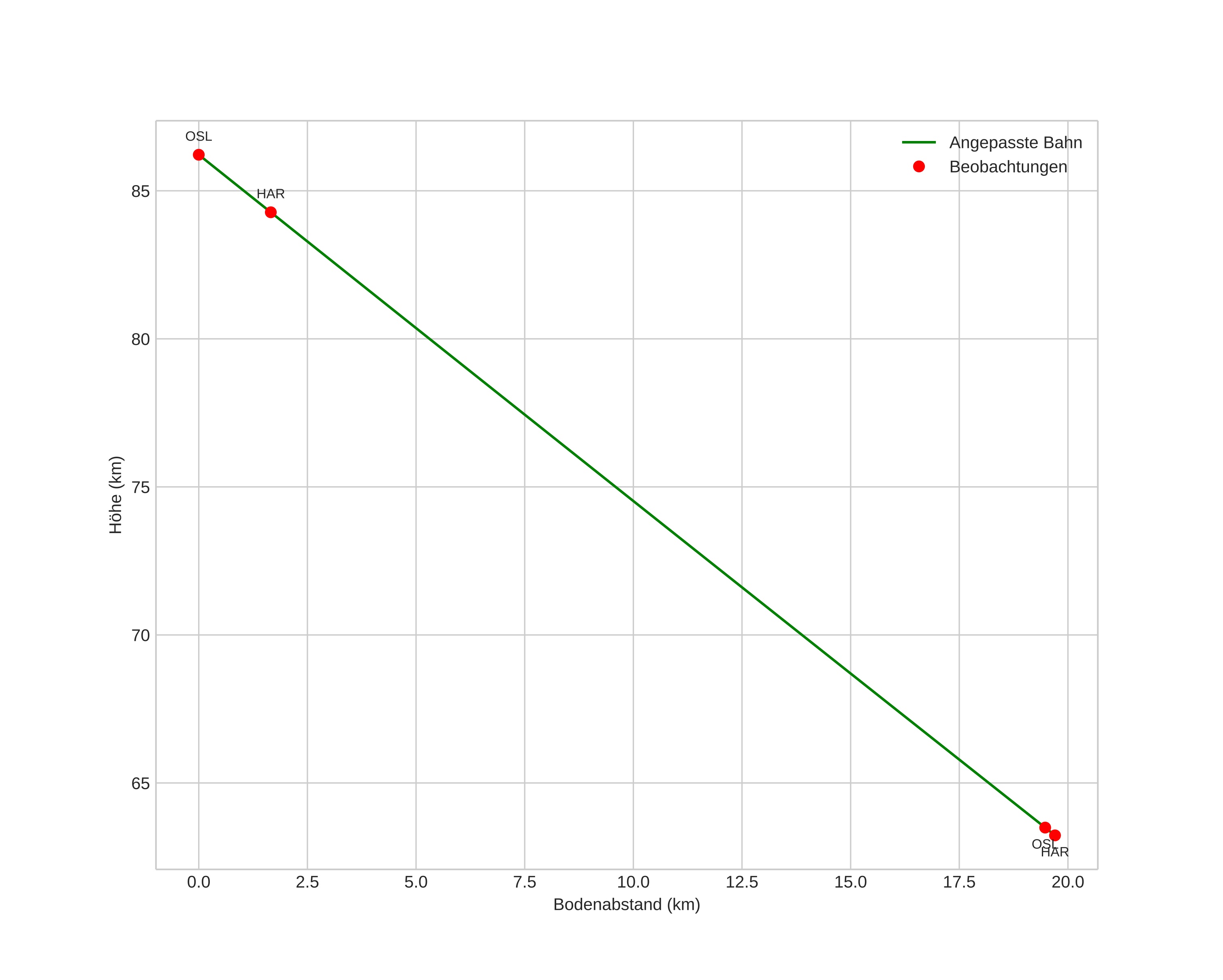
height profile
Atmosphärische Bahn des Meteors:
Anfangshöhe: 86,2 km
Endhöhe: 63,2 km
Startposition: 59,133N 11,092E
Endposition: 59,187N 10,763E
Richtung: 287,7°
Neigungswinkel: 49,4°
Eintrittsgeschwindigkeit: 30,5 km/s
Rektaszension des Radianten: 07:35 (113,9°)
Deklination des Radianten: 32,3°
Meteorstrom: Geminiden
Bahnelemente des Meteoroiden:
Periheldistanz: 0,195 AU
Exzentrizität: 0,809
Inklination: 16,7°
Länge des aufsteigenden Knotens: 262,4°
Argument des Perihels: 322,5°
Mittlere Anomalie: 318,9°
Epoche: 2015 DEC 14 22:05:23
orbit plot

Nicht-interaktives Diagramm | Interaktives Diagramm

position vs time
speed and acceleration