🇳🇴 🇬🇧 🇩🇪 🇨🇿 🇫🇮

Meteor, poloha: Gjøvik 2015-12-14 22:18:38 UTC

Soubor KML  |  InteraktivnĂ­ mapa

Mapa zobrazuje dráhy meteoru. Světlejší čáry ukazují směry od pozorovacích stanic při objevení se meteoru a tmavší čáry, kde byl naposledy viděn. Modrá šipka značí viditelnou dráhu meteoru.

static map
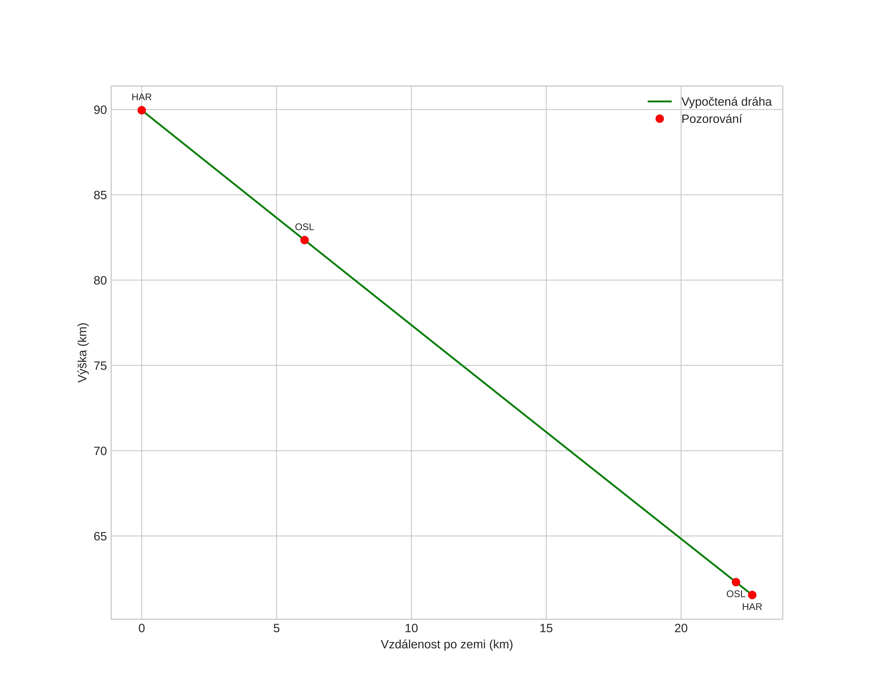
height profile
Atmosférická dráha meteoru:
Počáteční výška: 90,0 km
Konečná výška: 61,5 km
Počáteční poloha: 60,687N 11,136E
Konečná poloha: 60,759N 10,746E
Směr: 290,9°
Sklon: 51,5°
VstupnĂ­ rychlost: 30,3 km/s
Rektascenze radiantu: 07:37 (114,4°)
Deklinace radiantu: 34,0°
MeteorickĂ˝ roj: Geminidy
Elementy dráhy meteoroidu:
Vzdálenost v periheliu: 0,204 AU
Excentricita: 0,799
Sklon dráhy: 18,9°
Délka vzestupného uzlu: 262,4°
Argument perihelia: 321,8°
Střední anomálie: 317,8°
Epocha: 2015 DEC 14 22:18:38
orbit plot

NeinteraktivnĂ­ graf | InteraktivnĂ­ graf

position vs time
speed and acceleration