🇳🇴 🇬🇧 🇩🇪 🇨🇿 🇫🇮

Meteor Gjøvikin yllä 2015-12-14 22:18:38 UTC

KML-tiedosto  |  Interaktiivinen kartta

Kartta näyttää meteorin suuntahavainnot. Vaaleammat viivat näyttävät suunnat havaintoasemilta meteorin ilmestyessä, ja tummemmat viivat näyttävät, missä se viimeksi nähtiin. Sininen nuoli näyttää meteorin näkyvän lennon.

static map
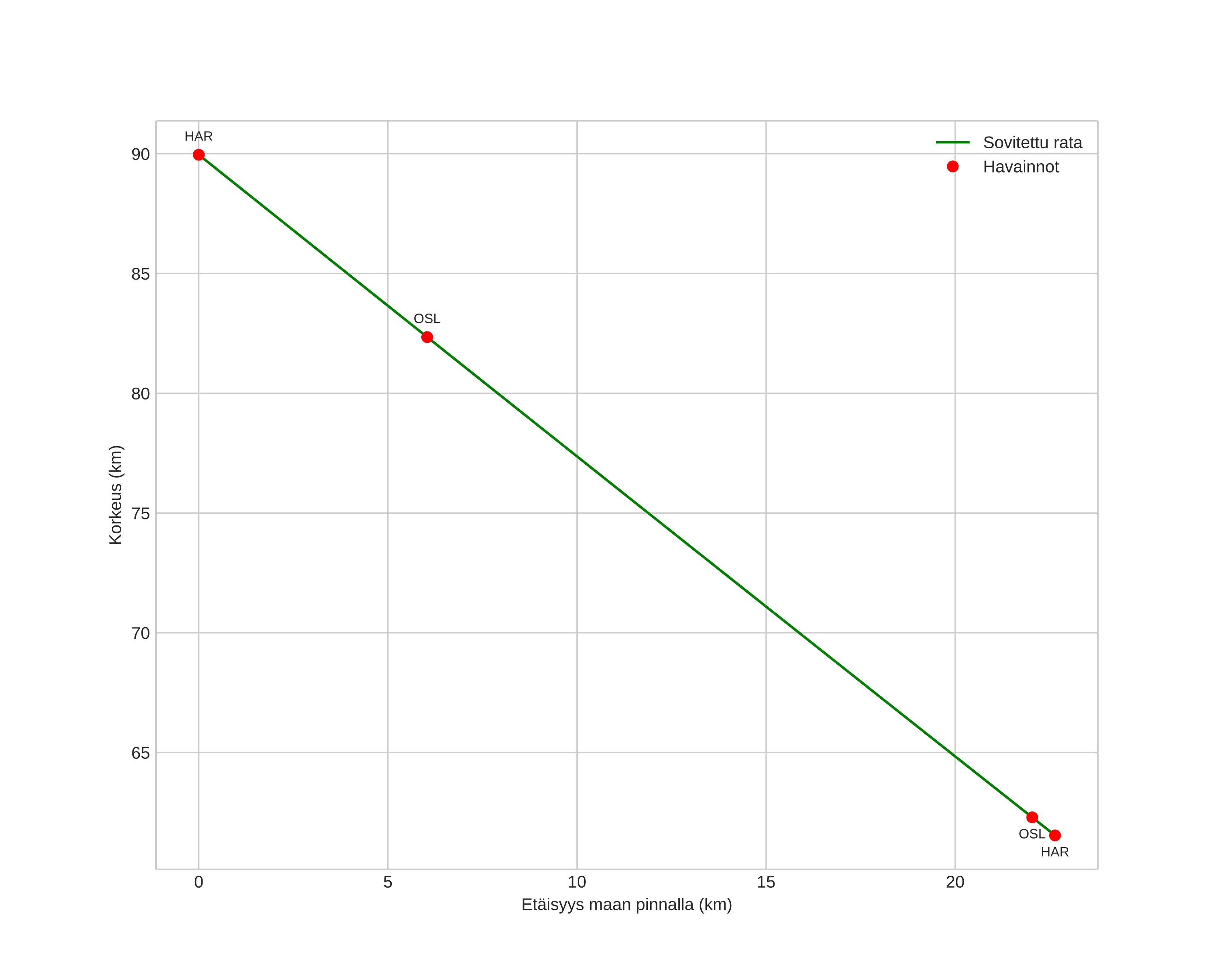
height profile
Meteorin ilmakehärata:
Alkukorkeus: 90,0 km
Loppukorkeus: 61,5 km
Alkupiste: 60,687N 11,136E
Loppupiste: 60,759N 10,746E
Suunta: 290,9°
Kallistuskulma: 51,5°
Tulonopeus: 30,3 km/s
Radiantin R,A,: 07:37 (114,4°)
Radiantin Dekl,: 34,0°
Meteoriparvi: Geminidit
Meteoroidin rataelementit:
Perihelietäisyys: 0,204 AU
Eksentrisyys: 0,799
Inklinaatio: 18,9°
Nousevan solmun pituus: 262,4°
Perihelin argumentti: 321,8°
Keskianomalia: 317,8°
Epookki: 2015 DEC 14 22:18:38
orbit plot

Ei-interaktiivinen kuvaaja | Interaktiivinen kuvaaja

position vs time
speed and acceleration