🇳🇴 🇬🇧 🇩🇪 🇨🇿 🇫🇮

Meteor, poloha: Kragerø 2015-12-14 22:24:45 UTC

Soubor KML  |  InteraktivnĂ­ mapa

Mapa zobrazuje dráhy meteoru. Světlejší čáry ukazují směry od pozorovacích stanic při objevení se meteoru a tmavší čáry, kde byl naposledy viděn. Modrá šipka značí viditelnou dráhu meteoru.

static map
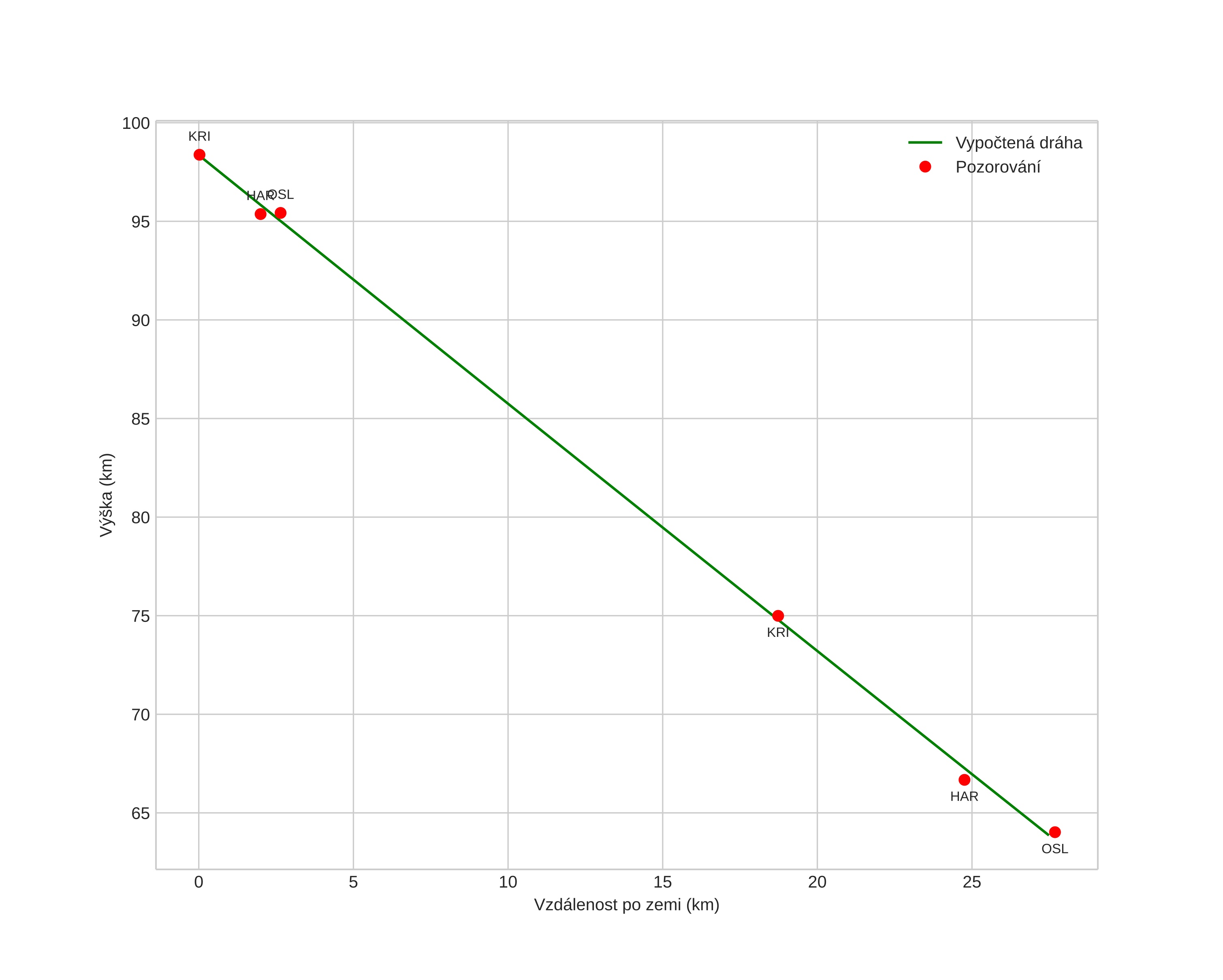
height profile
Atmosférická dráha meteoru:
Počáteční výška: 98,4 km
Konečná výška: 63,9 km
Počáteční poloha: 58,731N 9,919E
Konečná poloha: 58,814N 9,470E
Směr: 289,9°
Sklon: 51,5°
VstupnĂ­ rychlost: 33,7 km/s
Rektascenze radiantu: 07:37 (114,4°)
Deklinace radiantu: 33,1°
MeteorickĂ˝ roj: Geminidy
Elementy dráhy meteoroidu:
Vzdálenost v periheliu: 0,166 AU
Excentricita: 0,857
Sklon dráhy: 21,9°
Délka vzestupného uzlu: 262,4°
Argument perihelia: 323,3°
Střední anomálie: 328,5°
Epocha: 2015 DEC 14 22:24:45
orbit plot

NeinteraktivnĂ­ graf | InteraktivnĂ­ graf

position vs time
speed and acceleration