🇳🇴 🇬🇧 🇩🇪 🇨🇿 🇫🇮

Meteor Kragerøin yllä 2015-12-14 22:24:45 UTC

KML-tiedosto  |  Interaktiivinen kartta

Kartta näyttää meteorin suuntahavainnot. Vaaleammat viivat näyttävät suunnat havaintoasemilta meteorin ilmestyessä, ja tummemmat viivat näyttävät, missä se viimeksi nähtiin. Sininen nuoli näyttää meteorin näkyvän lennon.

static map
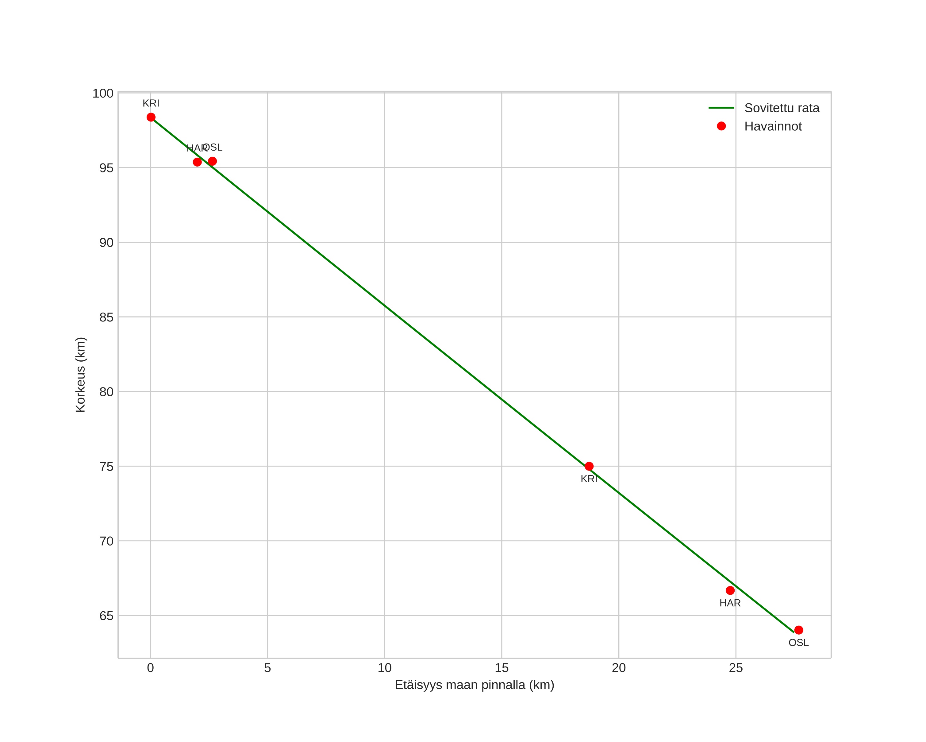
height profile
Meteorin ilmakehärata:
Alkukorkeus: 98,4 km
Loppukorkeus: 63,9 km
Alkupiste: 58,731N 9,919E
Loppupiste: 58,814N 9,470E
Suunta: 289,9°
Kallistuskulma: 51,5°
Tulonopeus: 33,7 km/s
Radiantin R,A,: 07:37 (114,4°)
Radiantin Dekl,: 33,1°
Meteoriparvi: Geminidit
Meteoroidin rataelementit:
Perihelietäisyys: 0,166 AU
Eksentrisyys: 0,857
Inklinaatio: 21,9°
Nousevan solmun pituus: 262,4°
Perihelin argumentti: 323,3°
Keskianomalia: 328,5°
Epookki: 2015 DEC 14 22:24:45
orbit plot

Ei-interaktiivinen kuvaaja | Interaktiivinen kuvaaja

position vs time
speed and acceleration