🇳🇴 🇬🇧 🇩🇪 🇨🇿 🇫🇮

Meteor, poloha: Hirtshals 2015-12-14 22:43:47 UTC

Soubor KML  |  InteraktivnĂ­ mapa

Mapa zobrazuje dráhy meteoru. Světlejší čáry ukazují směry od pozorovacích stanic při objevení se meteoru a tmavší čáry, kde byl naposledy viděn. Modrá šipka značí viditelnou dráhu meteoru.

static map
height profile
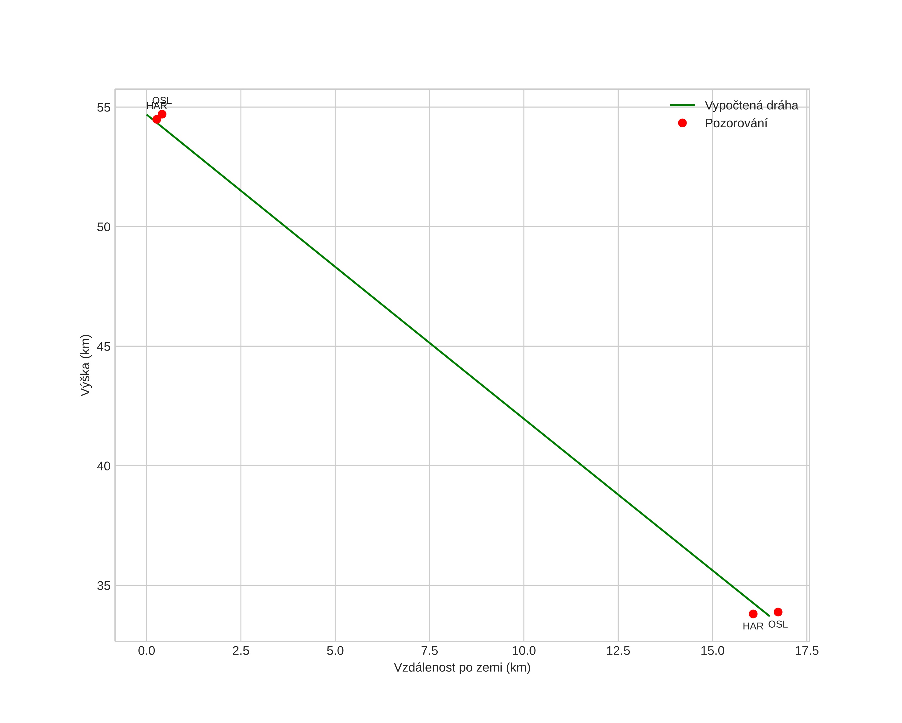
Atmosférická dráha meteoru:
Počáteční výška: 54,7 km
Konečná výška: 33,7 km
Počáteční poloha: 57,789N 10,231E
Konečná poloha: 57,879N 10,009E
Směr: 307,3°
Sklon: 51,8°
VstupnĂ­ rychlost: 23,9 km/s
Rektascenze radiantu: 07:14 (108,5°)
Deklinace radiantu: 25,7°
MeteorickĂ˝ roj: sporadickĂ˝
Elementy dráhy meteoroidu:
Vzdálenost v periheliu: 0,308 AU
Excentricita: 0,667
Sklon dráhy: 3,2°
Délka vzestupného uzlu: 262,4°
Argument perihelia: 315,9°
Střední anomálie: 302,4°
Epocha: 2015 DEC 14 22:43:47
orbit plot

NeinteraktivnĂ­ graf | InteraktivnĂ­ graf

position vs time
speed and acceleration