🇳🇴 🇬🇧 🇩🇪 🇨🇿 🇫🇮

Meteor über Hirtshals 2015-12-14 22:43:47 UTC

KML-Datei  |  Interaktive Karte

Die Karte zeigt die Peilungen für den Meteor. Die helleren Linien zeigen die Richtungen von den Beobachtungsorten beim Erscheinen des Meteors, und die dunkleren Linien, wo er zuletzt gesehen wurde. Der blaue Pfeil zeigt die sichtbare Bahn des Meteors.

static map
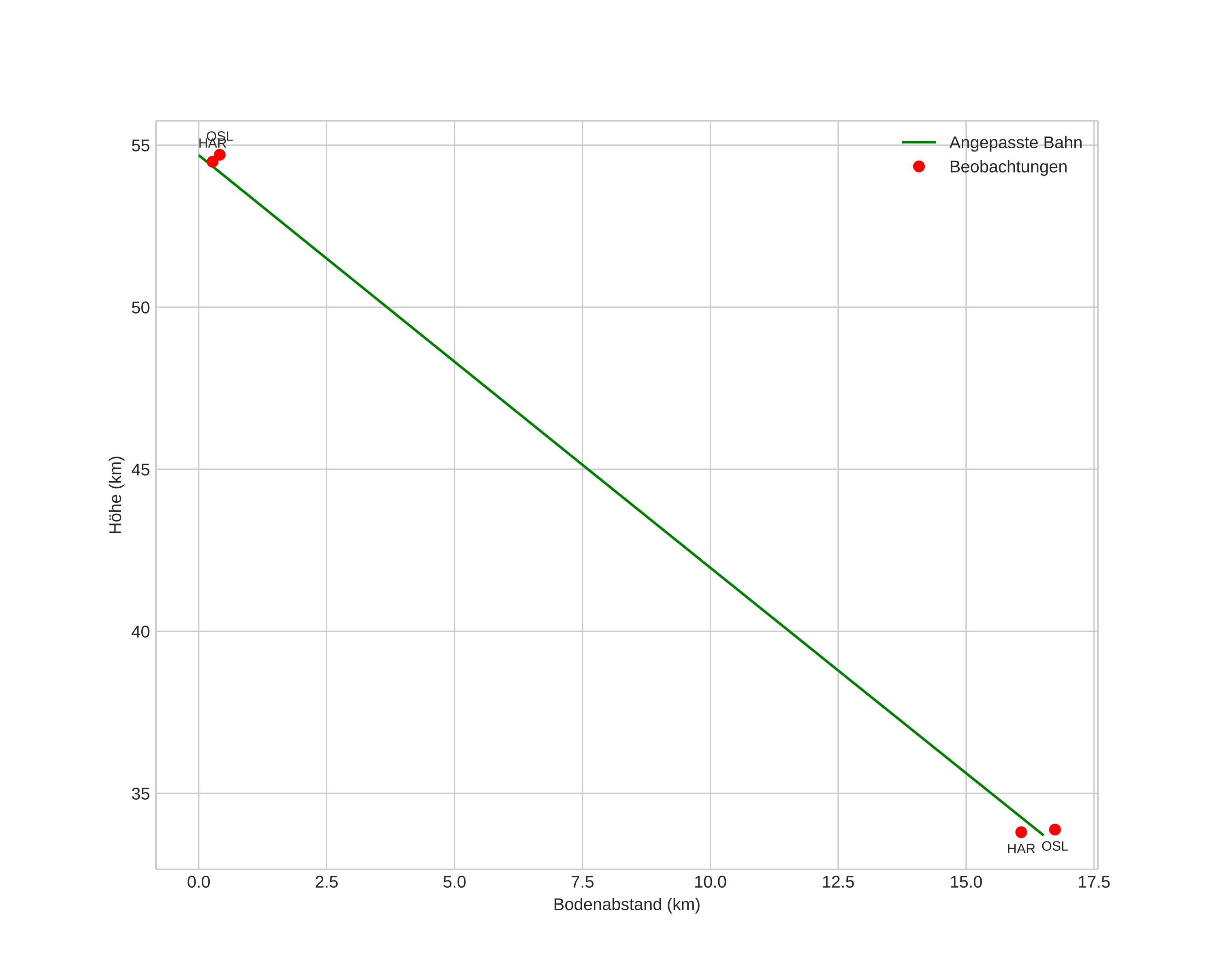
height profile
Atmosphärische Bahn des Meteors:
Anfangshöhe: 54,7 km
Endhöhe: 33,7 km
Startposition: 57,789N 10,231E
Endposition: 57,879N 10,009E
Richtung: 307,3°
Neigungswinkel: 51,8°
Eintrittsgeschwindigkeit: 23,9 km/s
Rektaszension des Radianten: 07:14 (108,5°)
Deklination des Radianten: 25,7°
Meteorstrom: sporadisch
Bahnelemente des Meteoroiden:
Periheldistanz: 0,308 AU
Exzentrizität: 0,667
Inklination: 3,2°
Länge des aufsteigenden Knotens: 262,4°
Argument des Perihels: 315,9°
Mittlere Anomalie: 302,4°
Epoche: 2015 DEC 14 22:43:47
orbit plot

Nicht-interaktives Diagramm | Interaktives Diagramm

position vs time
speed and acceleration