🇳🇴 🇬🇧 🇩🇪 🇨🇿 🇫🇮

Meteor, poloha: Reinsvoll 2015-12-14 23:40:54 UTC

Soubor KML  |  InteraktivnĂ­ mapa

Mapa zobrazuje dráhy meteoru. Světlejší čáry ukazují směry od pozorovacích stanic při objevení se meteoru a tmavší čáry, kde byl naposledy viděn. Modrá šipka značí viditelnou dráhu meteoru.

static map
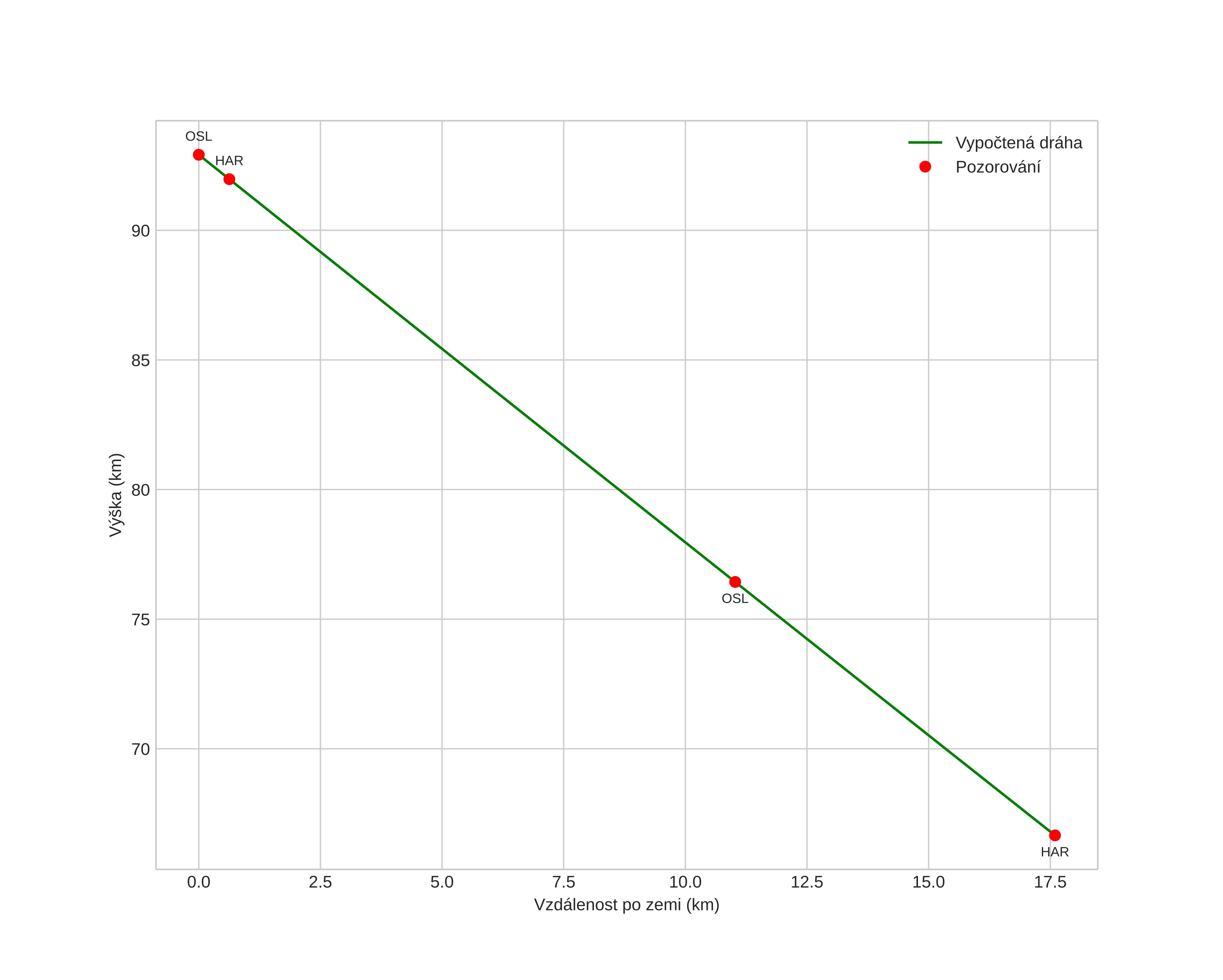
height profile
Atmosférická dráha meteoru:
Počáteční výška: 92,9 km
Konečná výška: 66,7 km
Počáteční poloha: 60,535N 10,877E
Konečná poloha: 60,656N 10,669E
Směr: 319,8°
Sklon: 56,1°
VstupnĂ­ rychlost: 31,7 km/s
Rektascenze radiantu: 07:35 (113,9°)
Deklinace radiantu: 29,8°
MeteorickĂ˝ roj: Geminidy
Elementy dráhy meteoroidu:
Vzdálenost v periheliu: 0,170 AU
Excentricita: 0,839
Sklon dráhy: 14,3°
Délka vzestupného uzlu: 262,4°
Argument perihelia: 324,5°
Střední anomálie: 322,3°
Epocha: 2015 DEC 14 23:40:54
orbit plot

NeinteraktivnĂ­ graf | InteraktivnĂ­ graf

position vs time
speed and acceleration