🇳🇴 🇬🇧 🇩🇪 🇨🇿 🇫🇮

Meteor über Reinsvoll 2015-12-14 23:40:54 UTC

KML-Datei  |  Interaktive Karte

Die Karte zeigt die Peilungen für den Meteor. Die helleren Linien zeigen die Richtungen von den Beobachtungsorten beim Erscheinen des Meteors, und die dunkleren Linien, wo er zuletzt gesehen wurde. Der blaue Pfeil zeigt die sichtbare Bahn des Meteors.

static map
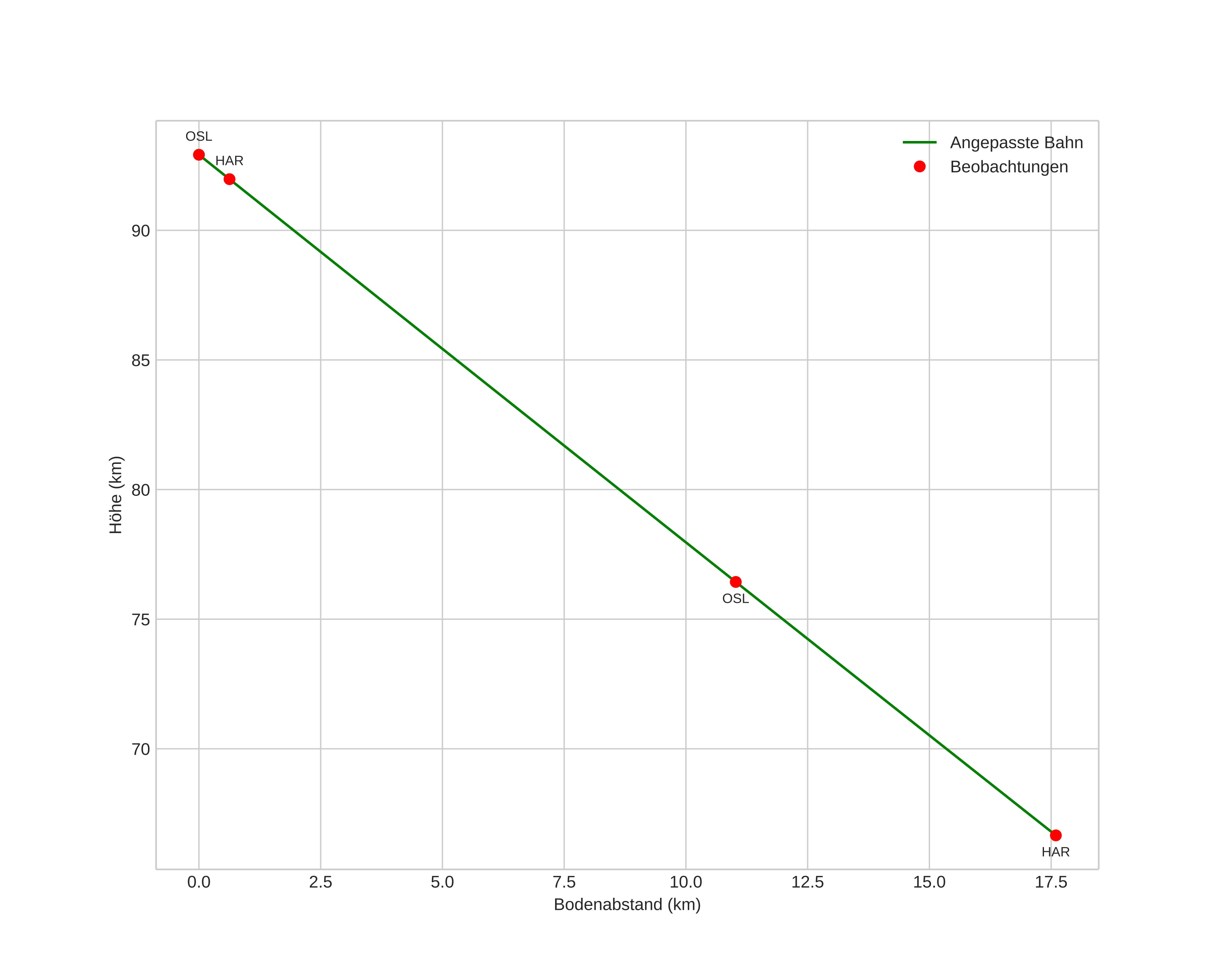
height profile
Atmosphärische Bahn des Meteors:
Anfangshöhe: 92,9 km
Endhöhe: 66,7 km
Startposition: 60,535N 10,877E
Endposition: 60,656N 10,669E
Richtung: 319,8°
Neigungswinkel: 56,1°
Eintrittsgeschwindigkeit: 31,7 km/s
Rektaszension des Radianten: 07:35 (113,9°)
Deklination des Radianten: 29,8°
Meteorstrom: Geminiden
Bahnelemente des Meteoroiden:
Periheldistanz: 0,170 AU
Exzentrizität: 0,839
Inklination: 14,3°
Länge des aufsteigenden Knotens: 262,4°
Argument des Perihels: 324,5°
Mittlere Anomalie: 322,3°
Epoche: 2015 DEC 14 23:40:54
orbit plot

Nicht-interaktives Diagramm | Interaktives Diagramm

position vs time
speed and acceleration