🇳🇴 🇬🇧 🇩🇪 🇨🇿 🇫🇮

Meteor, poloha: Teigebyen 2015-12-15 00:06:54 UTC

Soubor KML  |  InteraktivnĂ­ mapa

Mapa zobrazuje dráhy meteoru. Světlejší čáry ukazují směry od pozorovacích stanic při objevení se meteoru a tmavší čáry, kde byl naposledy viděn. Modrá šipka značí viditelnou dráhu meteoru.

static map
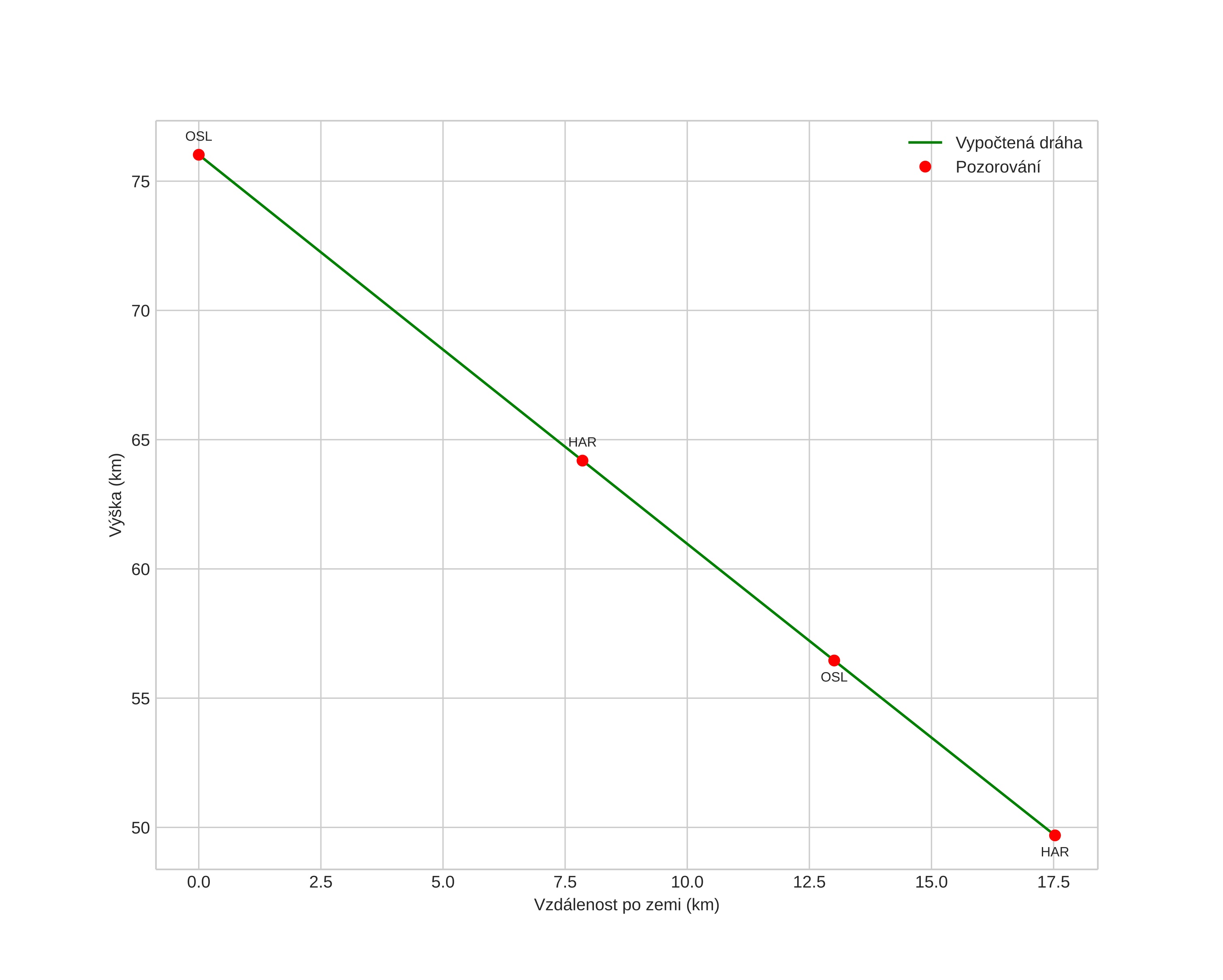
height profile
Atmosférická dráha meteoru:
Počáteční výška: 76,0 km
Konečná výška: 49,7 km
Počáteční poloha: 60,062N 11,206E
Konečná poloha: 60,204N 11,070E
Směr: 334,6°
Sklon: 56,3°
VstupnĂ­ rychlost: 24,3 km/s
Rektascenze radiantu: 07:25 (111,5°)
Deklinace radiantu: 26,1°
MeteorickĂ˝ roj: sporadickĂ˝
Elementy dráhy meteoroidu:
Vzdálenost v periheliu: 0,275 AU
Excentricita: 0,689
Sklon dráhy: 4,3°
Délka vzestupného uzlu: 262,4°
Argument perihelia: 320,0°
Střední anomálie: 299,7°
Epocha: 2015 DEC 15 00:06:54
orbit plot

NeinteraktivnĂ­ graf | InteraktivnĂ­ graf

position vs time
speed and acceleration