🇳🇴 🇬🇧 🇩🇪 🇨🇿 🇫🇮

Meteor Teigebyenin yllä 2015-12-15 00:06:54 UTC

KML-tiedosto  |  Interaktiivinen kartta

Kartta näyttää meteorin suuntahavainnot. Vaaleammat viivat näyttävät suunnat havaintoasemilta meteorin ilmestyessä, ja tummemmat viivat näyttävät, missä se viimeksi nähtiin. Sininen nuoli näyttää meteorin näkyvän lennon.

static map
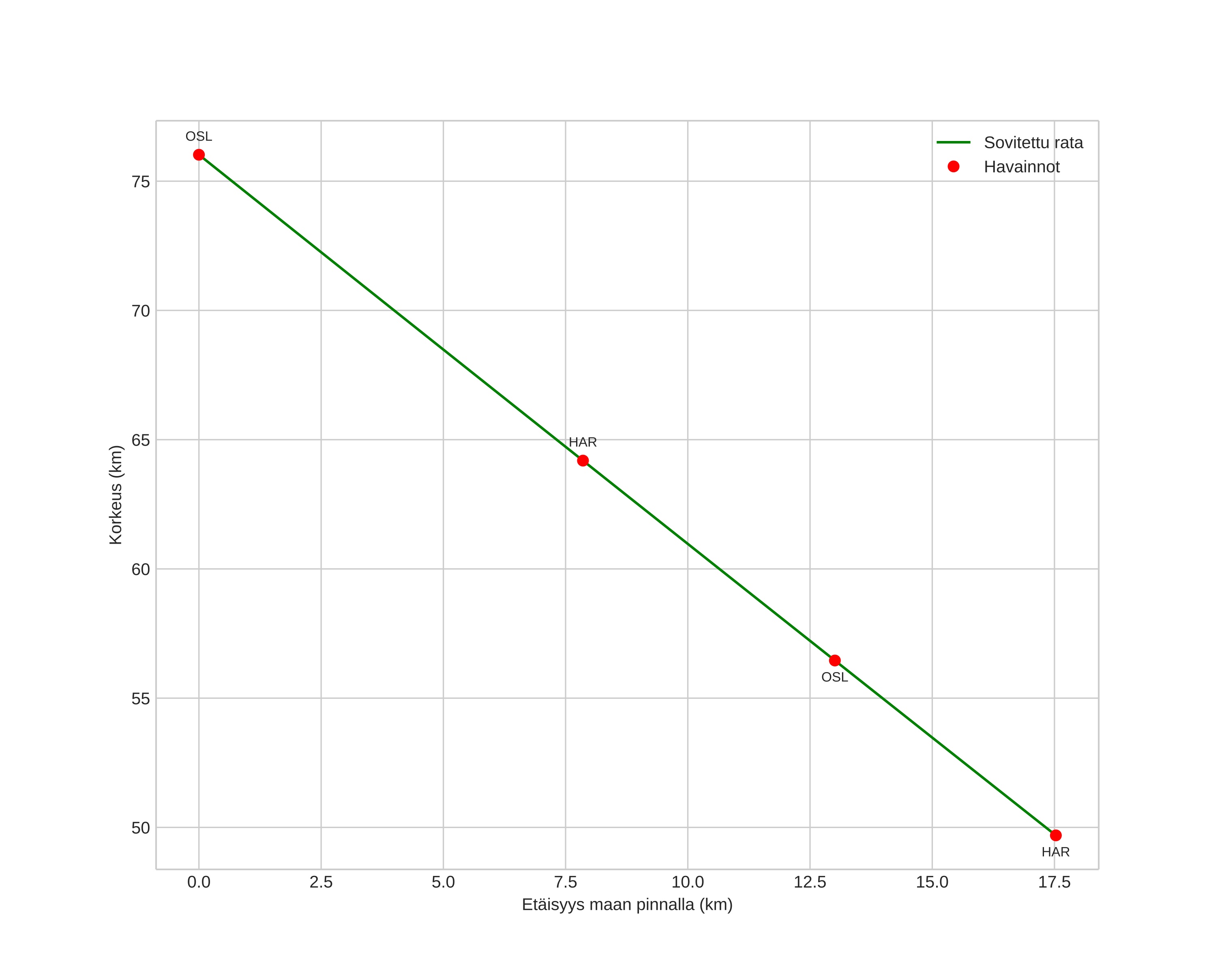
height profile
Meteorin ilmakehärata:
Alkukorkeus: 76,0 km
Loppukorkeus: 49,7 km
Alkupiste: 60,062N 11,206E
Loppupiste: 60,204N 11,070E
Suunta: 334,6°
Kallistuskulma: 56,3°
Tulonopeus: 24,3 km/s
Radiantin R,A,: 07:25 (111,5°)
Radiantin Dekl,: 26,1°
Meteoriparvi: Sporadinen
Meteoroidin rataelementit:
Perihelietäisyys: 0,275 AU
Eksentrisyys: 0,689
Inklinaatio: 4,3°
Nousevan solmun pituus: 262,4°
Perihelin argumentti: 320,0°
Keskianomalia: 299,7°
Epookki: 2015 DEC 15 00:06:54
orbit plot

Ei-interaktiivinen kuvaaja | Interaktiivinen kuvaaja

position vs time
speed and acceleration