🇳🇴 🇬🇧 🇩🇪 🇨🇿 🇫🇮

Meteor, poloha: Ryggebyen 2015-12-15 01:36:08 UTC

Soubor KML  |  InteraktivnĂ­ mapa

Mapa zobrazuje dráhy meteoru. Světlejší čáry ukazují směry od pozorovacích stanic při objevení se meteoru a tmavší čáry, kde byl naposledy viděn. Modrá šipka značí viditelnou dráhu meteoru.

static map
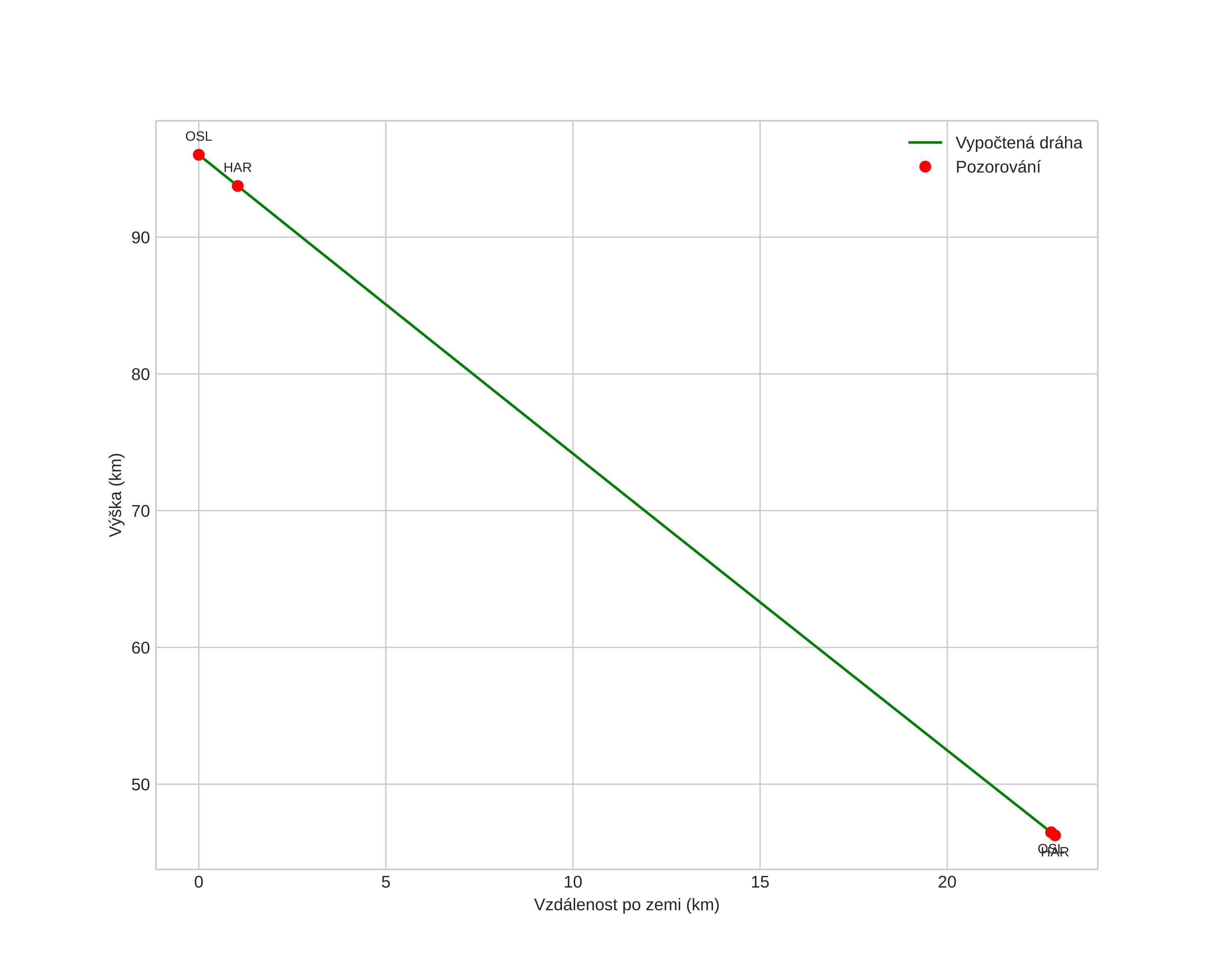
height profile
Atmosférická dráha meteoru:
Počáteční výška: 96,0 km
Konečná výška: 46,3 km
Počáteční poloha: 59,142N 10,726E
Konečná poloha: 59,346N 10,777E
Směr: 7,2°
Sklon: 65,3°
VstupnĂ­ rychlost: 33,2 km/s
Rektascenze radiantu: 07:34 (113,6°)
Deklinace radiantu: 33,7°
MeteorickĂ˝ roj: Geminidy
Elementy dráhy meteoroidu:
Vzdálenost v periheliu: 0,179 AU
Excentricita: 0,848
Sklon dráhy: 21,7°
Délka vzestupného uzlu: 262,5°
Argument perihelia: 321,4°
Střední anomálie: 329,1°
Epocha: 2015 DEC 15 01:36:08
orbit plot

NeinteraktivnĂ­ graf | InteraktivnĂ­ graf

position vs time
speed and acceleration