🇳🇴 🇬🇧 🇩🇪 🇨🇿 🇫🇮

Meteor Ryggebyenin yllä 2015-12-15 01:36:08 UTC

KML-tiedosto  |  Interaktiivinen kartta

Kartta näyttää meteorin suuntahavainnot. Vaaleammat viivat näyttävät suunnat havaintoasemilta meteorin ilmestyessä, ja tummemmat viivat näyttävät, missä se viimeksi nähtiin. Sininen nuoli näyttää meteorin näkyvän lennon.

static map
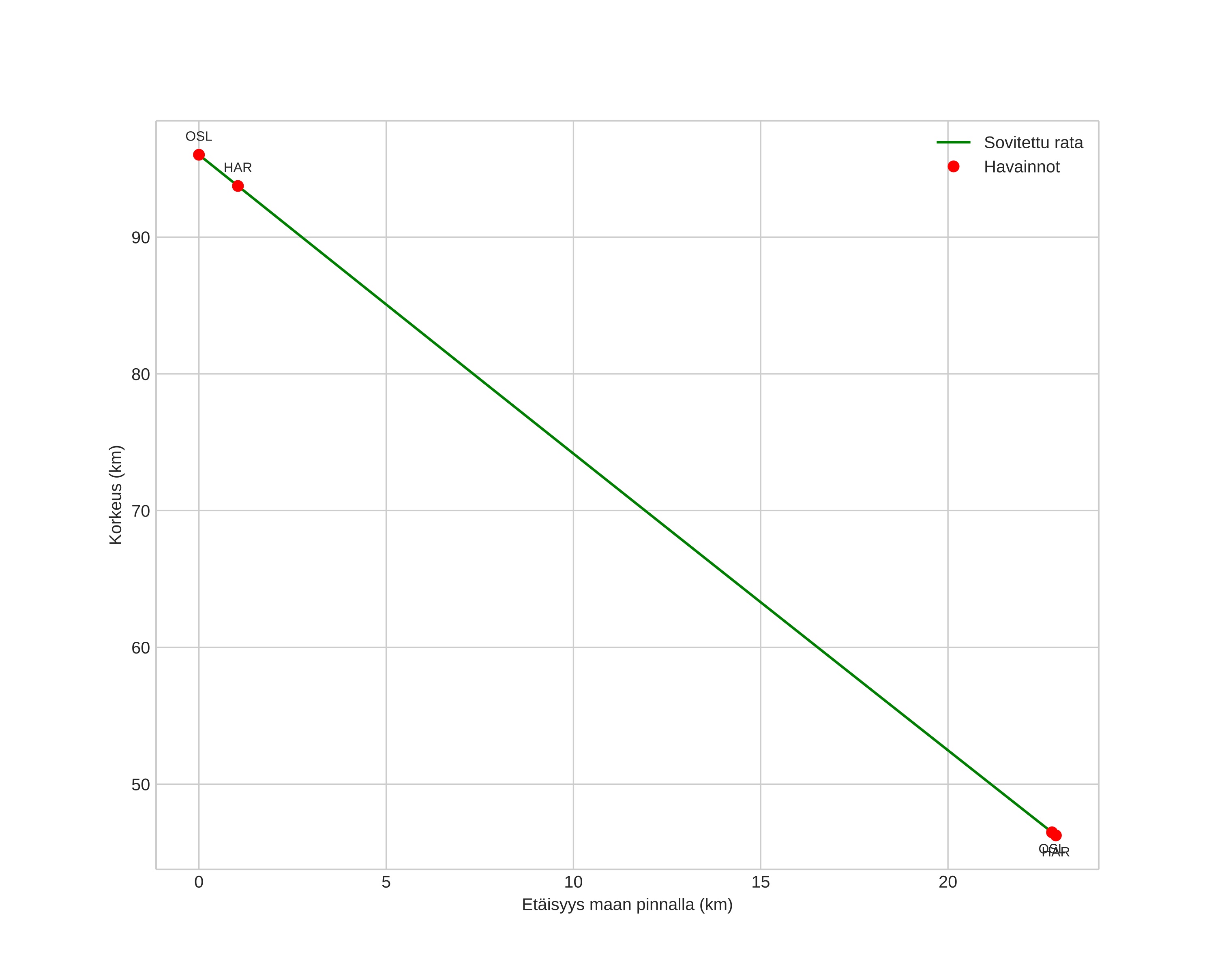
height profile
Meteorin ilmakehärata:
Alkukorkeus: 96,0 km
Loppukorkeus: 46,3 km
Alkupiste: 59,142N 10,726E
Loppupiste: 59,346N 10,777E
Suunta: 7,2°
Kallistuskulma: 65,3°
Tulonopeus: 33,2 km/s
Radiantin R,A,: 07:34 (113,6°)
Radiantin Dekl,: 33,7°
Meteoriparvi: Geminidit
Meteoroidin rataelementit:
Perihelietäisyys: 0,179 AU
Eksentrisyys: 0,848
Inklinaatio: 21,7°
Nousevan solmun pituus: 262,5°
Perihelin argumentti: 321,4°
Keskianomalia: 329,1°
Epookki: 2015 DEC 15 01:36:08
orbit plot

Ei-interaktiivinen kuvaaja | Interaktiivinen kuvaaja

position vs time
speed and acceleration