🇳🇴 🇬🇧 🇩🇪 🇨🇿 🇫🇮

Meteor, poloha: Rollag 2015-12-15 01:38:56 UTC

Soubor KML  |  InteraktivnĂ­ mapa

Mapa zobrazuje dráhy meteoru. Světlejší čáry ukazují směry od pozorovacích stanic při objevení se meteoru a tmavší čáry, kde byl naposledy viděn. Modrá šipka značí viditelnou dráhu meteoru.

static map
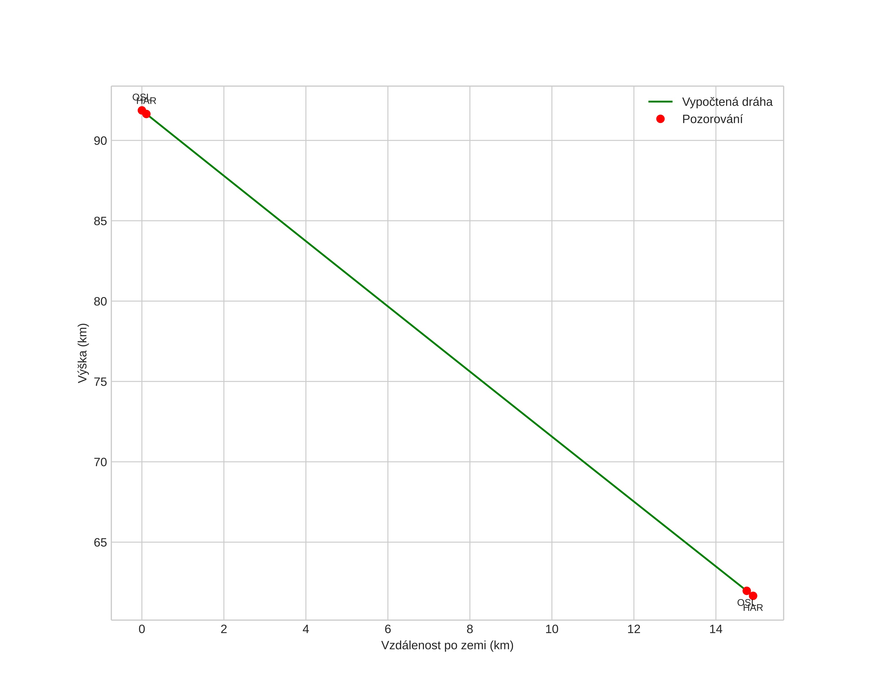
height profile
Atmosférická dráha meteoru:
Počáteční výška: 91,9 km
Konečná výška: 61,7 km
Počáteční poloha: 59,696N 9,154E
Konečná poloha: 59,830N 9,160E
Směr: 1,2°
Sklon: 63,7°
VstupnĂ­ rychlost: 30,3 km/s
Rektascenze radiantu: 07:42 (115,7°)
Deklinace radiantu: 32,4°
MeteorickĂ˝ roj: Geminidy
Elementy dráhy meteoroidu:
Vzdálenost v periheliu: 0,184 AU
Excentricita: 0,812
Sklon dráhy: 17,7°
Délka vzestupného uzlu: 262,5°
Argument perihelia: 324,5°
Střední anomálie: 316,2°
Epocha: 2015 DEC 15 01:38:56
orbit plot

NeinteraktivnĂ­ graf | InteraktivnĂ­ graf

position vs time
speed and acceleration