🇳🇴 🇬🇧 🇩🇪 🇨🇿 🇫🇮

Meteor Rollagin yllä 2015-12-15 01:38:56 UTC

KML-tiedosto  |  Interaktiivinen kartta

Kartta näyttää meteorin suuntahavainnot. Vaaleammat viivat näyttävät suunnat havaintoasemilta meteorin ilmestyessä, ja tummemmat viivat näyttävät, missä se viimeksi nähtiin. Sininen nuoli näyttää meteorin näkyvän lennon.

static map
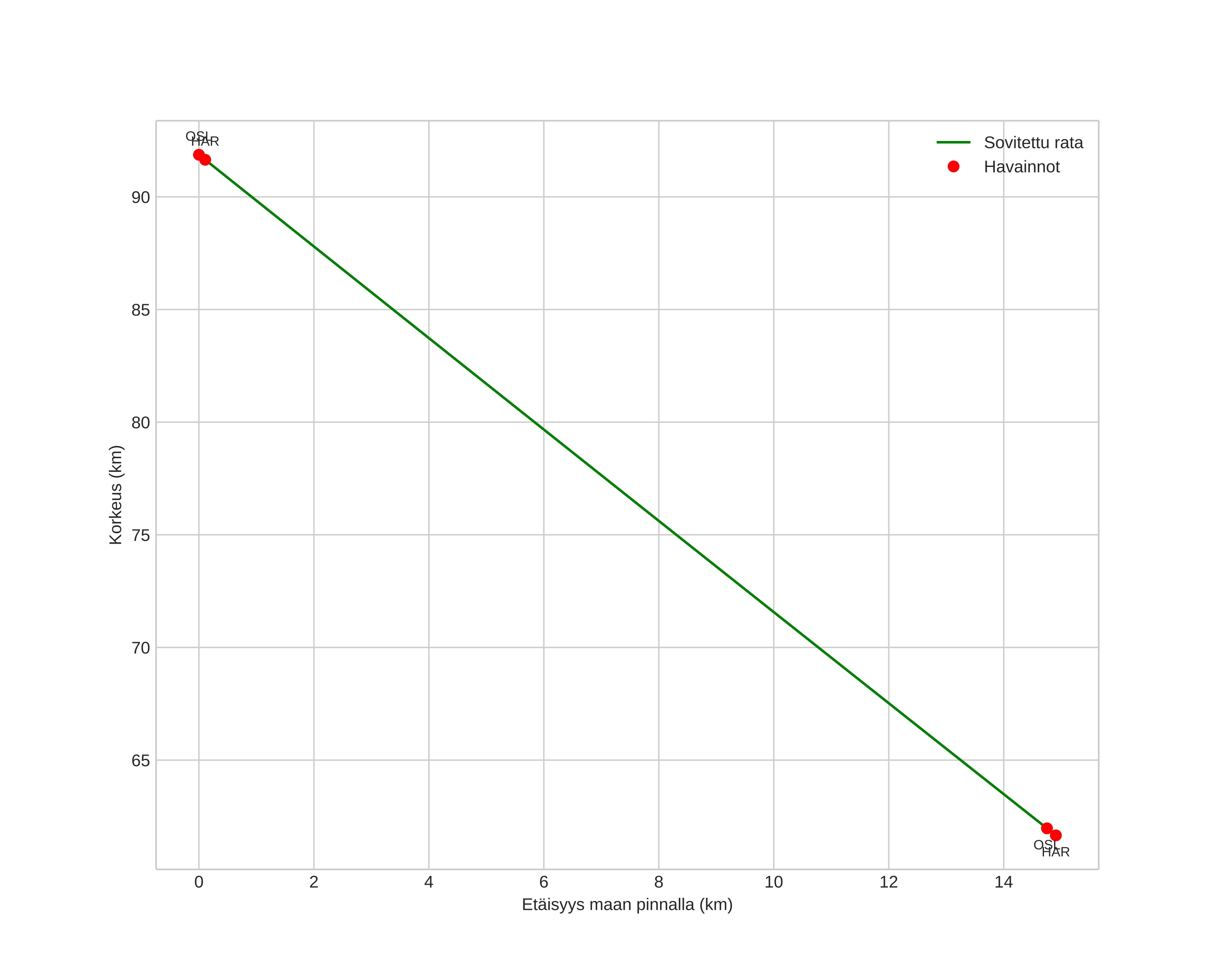
height profile
Meteorin ilmakehärata:
Alkukorkeus: 91,9 km
Loppukorkeus: 61,7 km
Alkupiste: 59,696N 9,154E
Loppupiste: 59,830N 9,160E
Suunta: 1,2°
Kallistuskulma: 63,7°
Tulonopeus: 30,3 km/s
Radiantin R,A,: 07:42 (115,7°)
Radiantin Dekl,: 32,4°
Meteoriparvi: Geminidit
Meteoroidin rataelementit:
Perihelietäisyys: 0,184 AU
Eksentrisyys: 0,812
Inklinaatio: 17,7°
Nousevan solmun pituus: 262,5°
Perihelin argumentti: 324,5°
Keskianomalia: 316,2°
Epookki: 2015 DEC 15 01:38:56
orbit plot

Ei-interaktiivinen kuvaaja | Interaktiivinen kuvaaja

position vs time
speed and acceleration