🇳🇴 🇬🇧 🇩🇪 🇨🇿 🇫🇮

Meteor, poloha: Grebbestad 2015-12-15 02:46:26 UTC

Soubor KML  |  InteraktivnĂ­ mapa

Mapa zobrazuje dráhy meteoru. Světlejší čáry ukazují směry od pozorovacích stanic při objevení se meteoru a tmavší čáry, kde byl naposledy viděn. Modrá šipka značí viditelnou dráhu meteoru.

static map
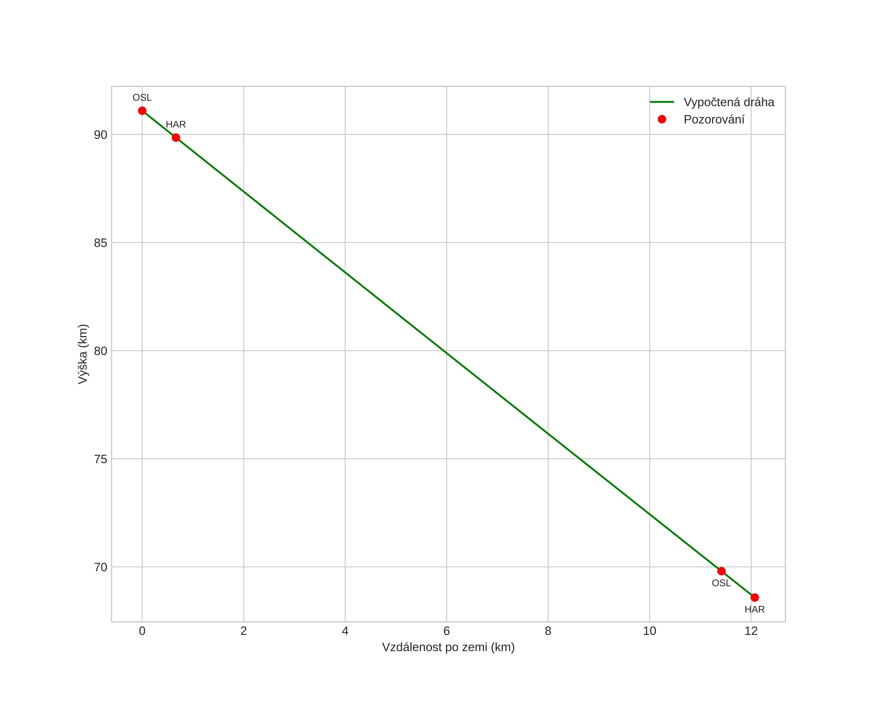
height profile
Atmosférická dráha meteoru:
Počáteční výška: 91,1 km
Konečná výška: 68,6 km
Počáteční poloha: 58,735N 11,087E
Konečná poloha: 58,817N 11,226E
Směr: 41,6°
Sklon: 61,8°
VstupnĂ­ rychlost: 29,6 km/s
Rektascenze radiantu: 07:29 (112,4°)
Deklinace radiantu: 33,5°
MeteorickĂ˝ roj: Geminidy
Elementy dráhy meteoroidu:
Vzdálenost v periheliu: 0,223 AU
Excentricita: 0,788
Sklon dráhy: 16,8°
Délka vzestupného uzlu: 262,6°
Argument perihelia: 319,0°
Střední anomálie: 319,6°
Epocha: 2015 DEC 15 02:46:26
orbit plot

NeinteraktivnĂ­ graf | InteraktivnĂ­ graf

position vs time
speed and acceleration