🇳🇴 🇬🇧 🇩🇪 🇨🇿 🇫🇮

Meteor über Grebbestad 2015-12-15 02:46:26 UTC

KML-Datei  |  Interaktive Karte

Die Karte zeigt die Peilungen für den Meteor. Die helleren Linien zeigen die Richtungen von den Beobachtungsorten beim Erscheinen des Meteors, und die dunkleren Linien, wo er zuletzt gesehen wurde. Der blaue Pfeil zeigt die sichtbare Bahn des Meteors.

static map
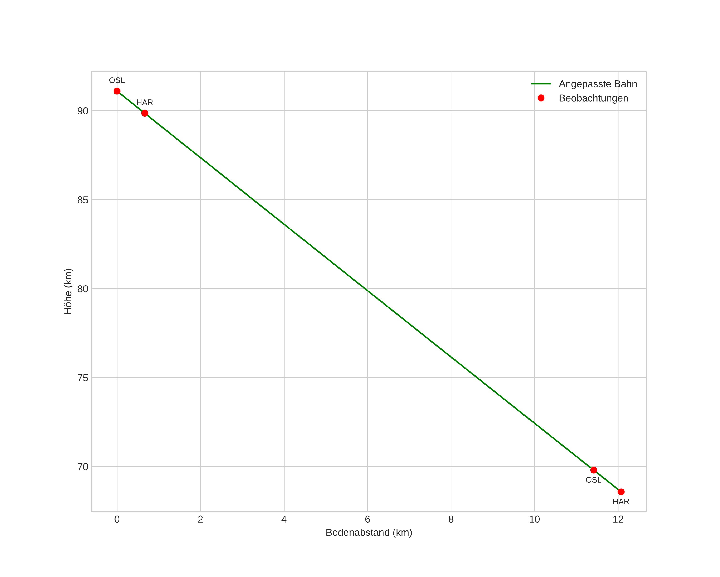
height profile
Atmosphärische Bahn des Meteors:
Anfangshöhe: 91,1 km
Endhöhe: 68,6 km
Startposition: 58,735N 11,087E
Endposition: 58,817N 11,226E
Richtung: 41,6°
Neigungswinkel: 61,8°
Eintrittsgeschwindigkeit: 29,6 km/s
Rektaszension des Radianten: 07:29 (112,4°)
Deklination des Radianten: 33,5°
Meteorstrom: Geminiden
Bahnelemente des Meteoroiden:
Periheldistanz: 0,223 AU
Exzentrizität: 0,788
Inklination: 16,8°
Länge des aufsteigenden Knotens: 262,6°
Argument des Perihels: 319,0°
Mittlere Anomalie: 319,6°
Epoche: 2015 DEC 15 02:46:26
orbit plot

Nicht-interaktives Diagramm | Interaktives Diagramm

position vs time
speed and acceleration