🇳🇴 🇬🇧 🇩🇪 🇨🇿 🇫🇮

Meteor, poloha: Skien 2015-12-15 03:11:31 UTC

Soubor KML  |  InteraktivnĂ­ mapa

Mapa zobrazuje dráhy meteoru. Světlejší čáry ukazují směry od pozorovacích stanic při objevení se meteoru a tmavší čáry, kde byl naposledy viděn. Modrá šipka značí viditelnou dráhu meteoru.

static map
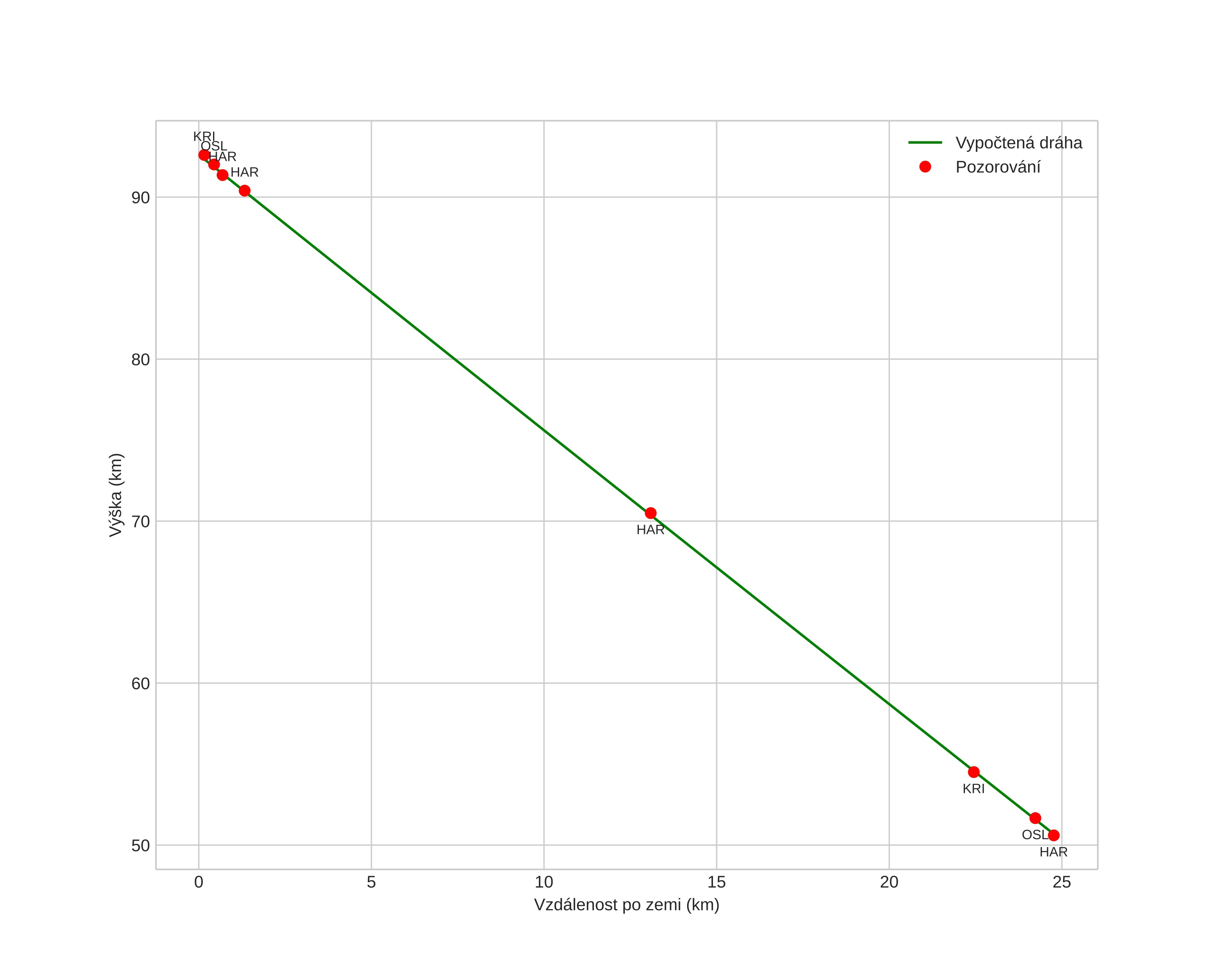
height profile
Atmosférická dráha meteoru:
Počáteční výška: 92,6 km
Konečná výška: 50,6 km
Počáteční poloha: 59,148N 9,275E
Konečná poloha: 59,308N 9,579E
Směr: 44,2°
Sklon: 59,4°
VstupnĂ­ rychlost: 33,9 km/s
Rektascenze radiantu: 07:37 (114,3°)
Deklinace radiantu: 32,5°
MeteorickĂ˝ roj: Geminidy
Elementy dráhy meteoroidu:
Vzdálenost v periheliu: 0,160 AU
Excentricita: 0,866
Sklon dráhy: 21,4°
Délka vzestupného uzlu: 262,6°
Argument perihelia: 323,6°
Střední anomálie: 330,3°
Epocha: 2015 DEC 15 03:11:31
orbit plot

NeinteraktivnĂ­ graf | InteraktivnĂ­ graf

position vs time
speed and acceleration