🇳🇴 🇬🇧 🇩🇪 🇨🇿 🇫🇮

Meteor über Skien 2015-12-15 03:11:31 UTC

KML-Datei  |  Interaktive Karte

Die Karte zeigt die Peilungen für den Meteor. Die helleren Linien zeigen die Richtungen von den Beobachtungsorten beim Erscheinen des Meteors, und die dunkleren Linien, wo er zuletzt gesehen wurde. Der blaue Pfeil zeigt die sichtbare Bahn des Meteors.

static map
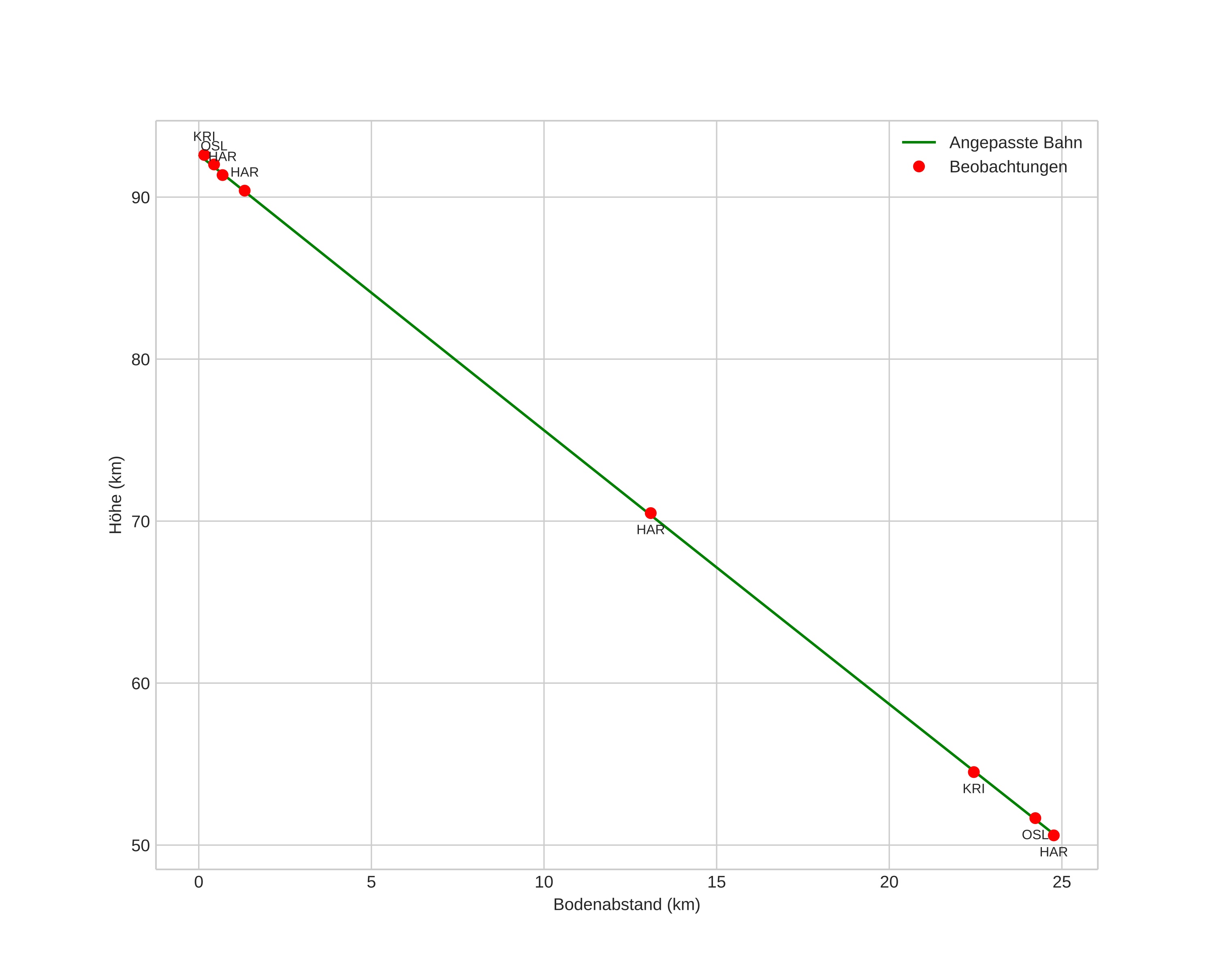
height profile
Atmosphärische Bahn des Meteors:
Anfangshöhe: 92,6 km
Endhöhe: 50,6 km
Startposition: 59,148N 9,275E
Endposition: 59,308N 9,579E
Richtung: 44,2°
Neigungswinkel: 59,4°
Eintrittsgeschwindigkeit: 33,9 km/s
Rektaszension des Radianten: 07:37 (114,3°)
Deklination des Radianten: 32,5°
Meteorstrom: Geminiden
Bahnelemente des Meteoroiden:
Periheldistanz: 0,160 AU
Exzentrizität: 0,866
Inklination: 21,4°
Länge des aufsteigenden Knotens: 262,6°
Argument des Perihels: 323,6°
Mittlere Anomalie: 330,3°
Epoche: 2015 DEC 15 03:11:31
orbit plot

Nicht-interaktives Diagramm | Interaktives Diagramm

position vs time
speed and acceleration