🇳🇴 🇬🇧 🇩🇪 🇨🇿 🇫🇮

Meteor, poloha: Moi 2015-12-15 04:03:45 UTC

Soubor KML  |  InteraktivnĂ­ mapa

Mapa zobrazuje dráhy meteoru. Světlejší čáry ukazují směry od pozorovacích stanic při objevení se meteoru a tmavší čáry, kde byl naposledy viděn. Modrá šipka značí viditelnou dráhu meteoru.

static map
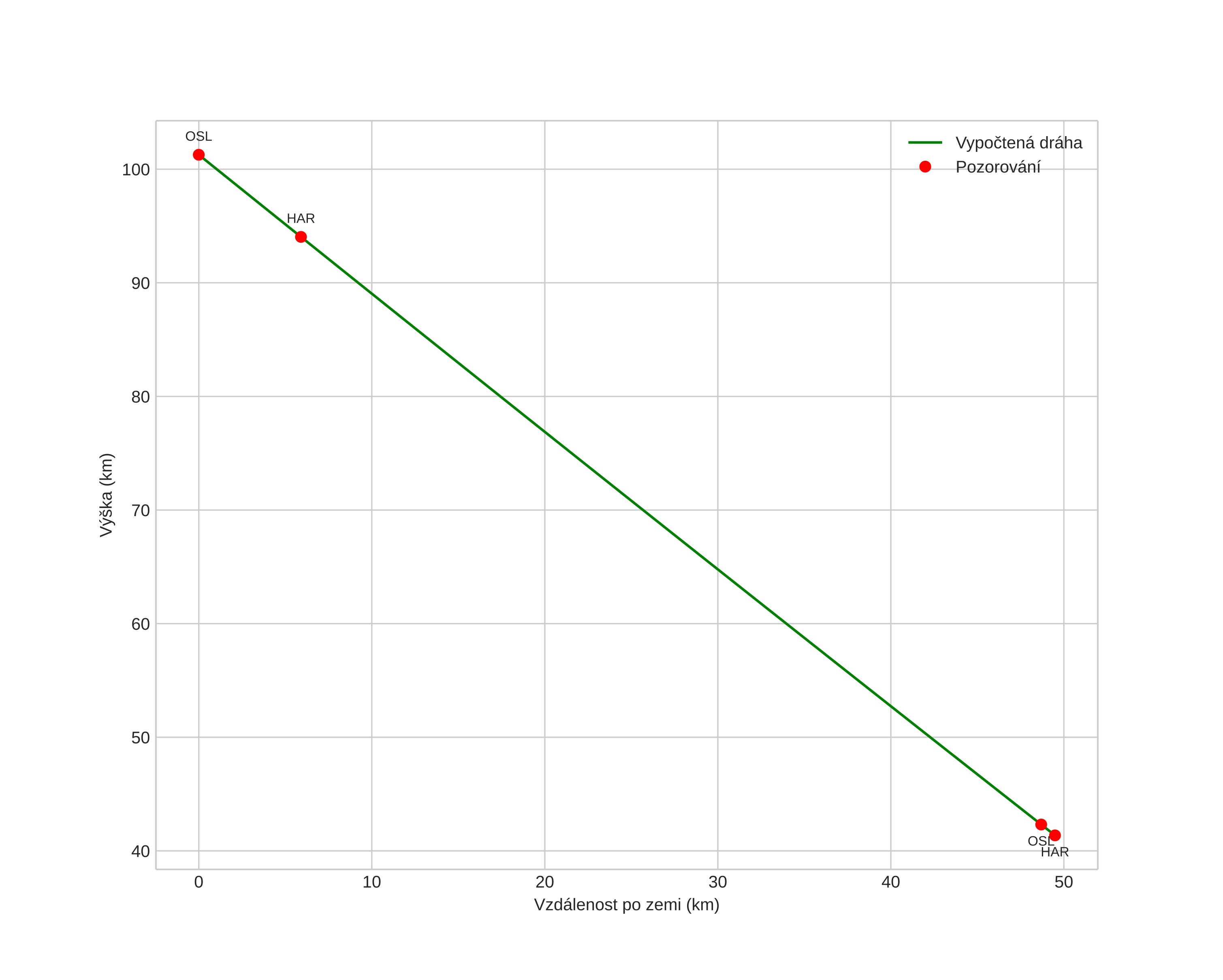
height profile
Atmosférická dráha meteoru:
Počáteční výška: 101,3 km
Konečná výška: 41,4 km
Počáteční poloha: 58,320N 5,716E
Konečná poloha: 58,559N 6,433E
Směr: 57,2°
Sklon: 50,4°
VstupnĂ­ rychlost: 40,1 km/s
Rektascenze radiantu: 07:26 (111,7°)
Deklinace radiantu: 27,5°
MeteorickĂ˝ roj: Geminidy
Elementy dráhy meteoroidu:
Vzdálenost v periheliu: 0,103 AU
Excentricita: 0,951
Sklon dráhy: 15,8°
Délka vzestupného uzlu: 262,6°
Argument perihelia: 326,8°
Střední anomálie: 349,2°
Epocha: 2015 DEC 15 04:03:45
orbit plot

NeinteraktivnĂ­ graf | InteraktivnĂ­ graf

position vs time
speed and acceleration