🇳🇴 🇬🇧 🇩🇪 🇨🇿 🇫🇮

Meteor über Moi 2015-12-15 04:03:45 UTC

KML-Datei  |  Interaktive Karte

Die Karte zeigt die Peilungen für den Meteor. Die helleren Linien zeigen die Richtungen von den Beobachtungsorten beim Erscheinen des Meteors, und die dunkleren Linien, wo er zuletzt gesehen wurde. Der blaue Pfeil zeigt die sichtbare Bahn des Meteors.

static map
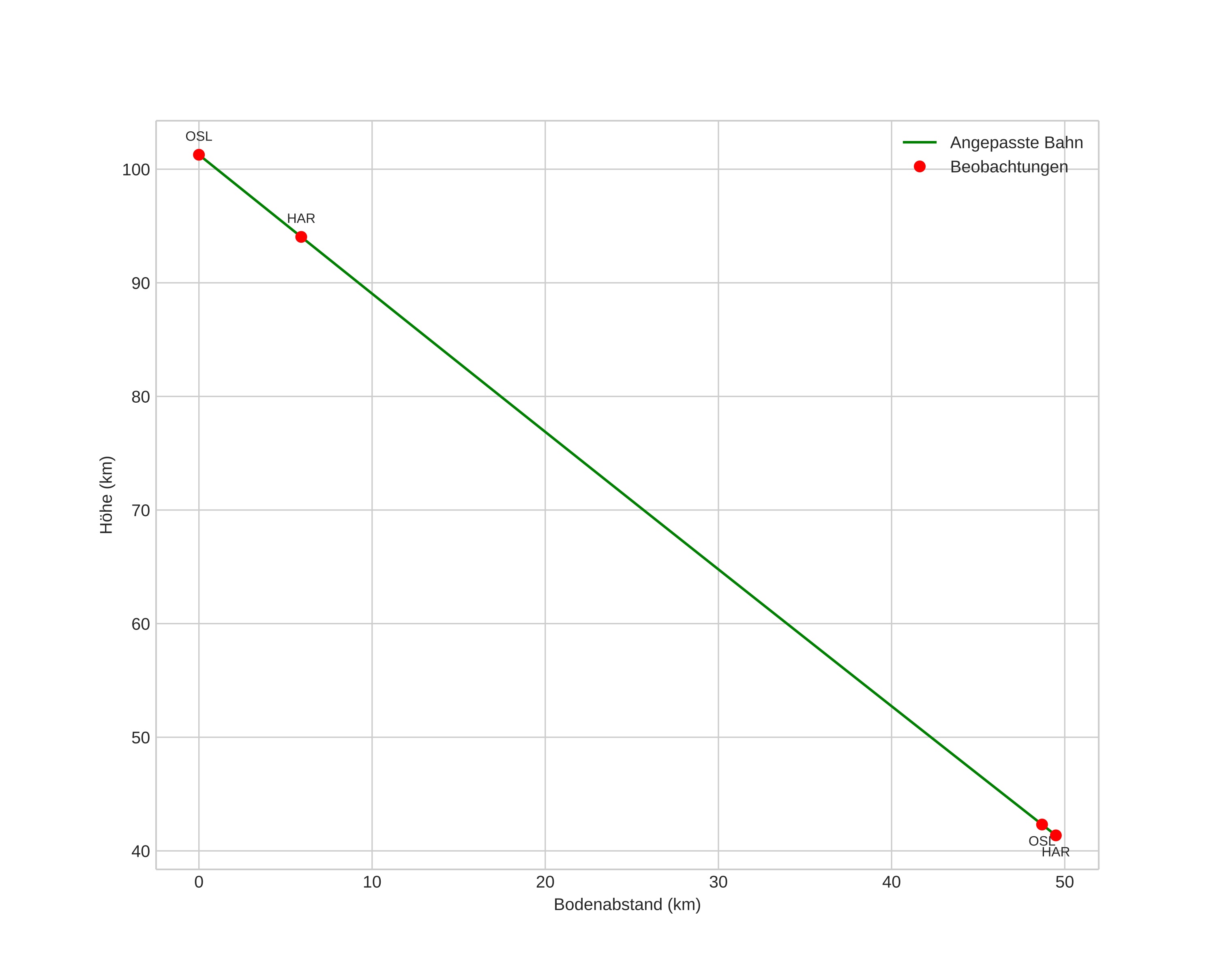
height profile
Atmosphärische Bahn des Meteors:
Anfangshöhe: 101,3 km
Endhöhe: 41,4 km
Startposition: 58,320N 5,716E
Endposition: 58,559N 6,433E
Richtung: 57,2°
Neigungswinkel: 50,4°
Eintrittsgeschwindigkeit: 40,1 km/s
Rektaszension des Radianten: 07:26 (111,7°)
Deklination des Radianten: 27,5°
Meteorstrom: Geminiden
Bahnelemente des Meteoroiden:
Periheldistanz: 0,103 AU
Exzentrizität: 0,951
Inklination: 15,8°
Länge des aufsteigenden Knotens: 262,6°
Argument des Perihels: 326,8°
Mittlere Anomalie: 349,2°
Epoche: 2015 DEC 15 04:03:45
orbit plot

Nicht-interaktives Diagramm | Interaktives Diagramm

position vs time
speed and acceleration