🇳🇴 🇬🇧 🇩🇪 🇨🇿 🇫🇮

Meteor, poloha: Heggenes 2015-12-15 04:32:51 UTC

Soubor KML  |  InteraktivnĂ­ mapa

Mapa zobrazuje dráhy meteoru. Světlejší čáry ukazují směry od pozorovacích stanic při objevení se meteoru a tmavší čáry, kde byl naposledy viděn. Modrá šipka značí viditelnou dráhu meteoru.

static map
height profile
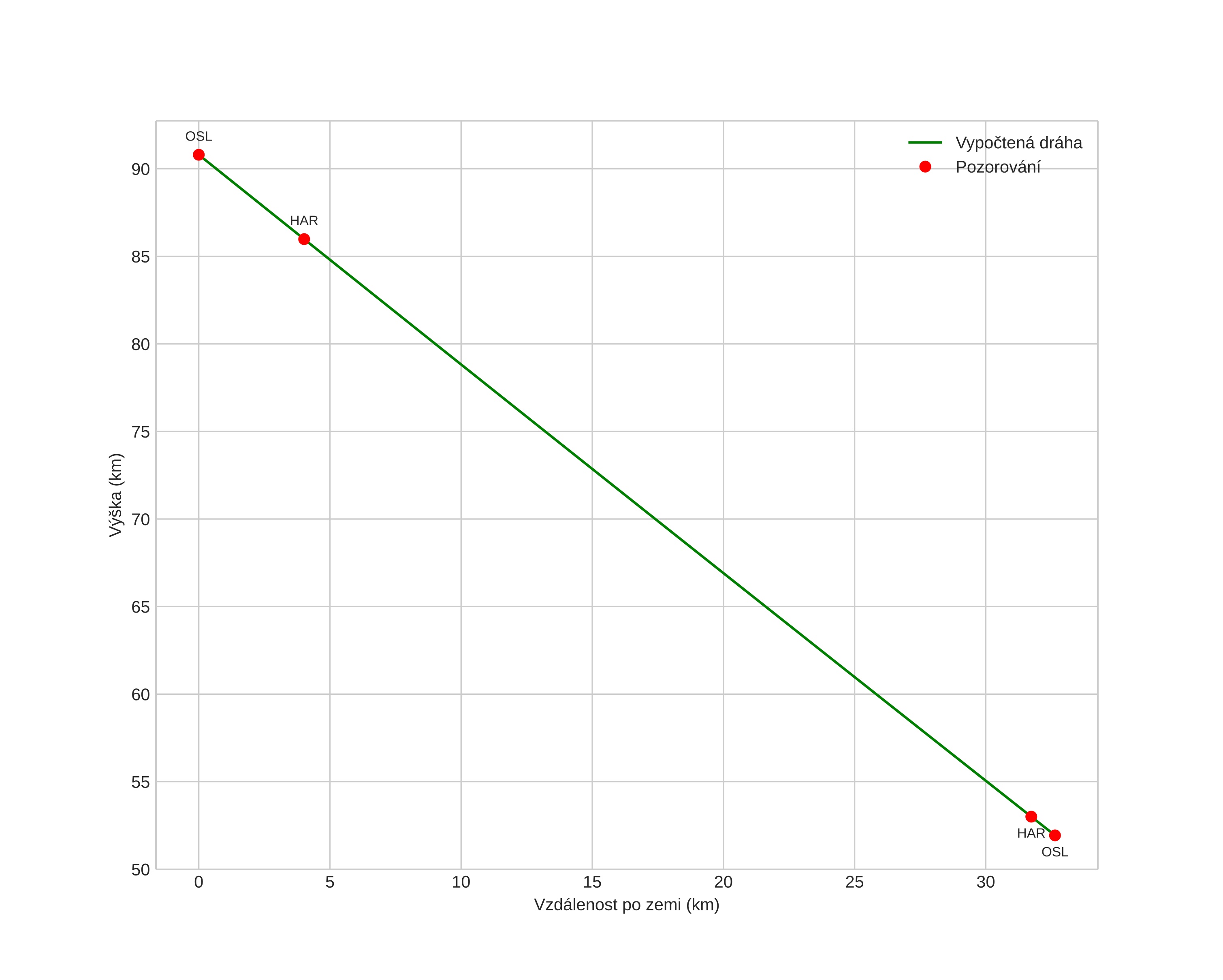
Atmosférická dráha meteoru:
Počáteční výška: 90,8 km
Konečná výška: 51,9 km
Počáteční poloha: 61,022N 8,497E
Konečná poloha: 61,151N 9,042E
Směr: 63,5°
Sklon: 50,0°
VstupnĂ­ rychlost: 31,6 km/s
Rektascenze radiantu: 07:44 (116,1°)
Deklinace radiantu: 30,7°
MeteorickĂ˝ roj: Geminidy
Elementy dráhy meteoroidu:
Vzdálenost v periheliu: 0,159 AU
Excentricita: 0,842
Sklon dráhy: 17,0°
Délka vzestupného uzlu: 262,6°
Argument perihelia: 326,4°
Střední anomálie: 320,0°
Epocha: 2015 DEC 15 04:32:51
orbit plot

NeinteraktivnĂ­ graf | InteraktivnĂ­ graf

position vs time
speed and acceleration