🇳🇴 🇬🇧 🇩🇪 🇨🇿 🇫🇮

Meteor Heggenesin yllä 2015-12-15 04:32:51 UTC

KML-tiedosto  |  Interaktiivinen kartta

Kartta näyttää meteorin suuntahavainnot. Vaaleammat viivat näyttävät suunnat havaintoasemilta meteorin ilmestyessä, ja tummemmat viivat näyttävät, missä se viimeksi nähtiin. Sininen nuoli näyttää meteorin näkyvän lennon.

static map
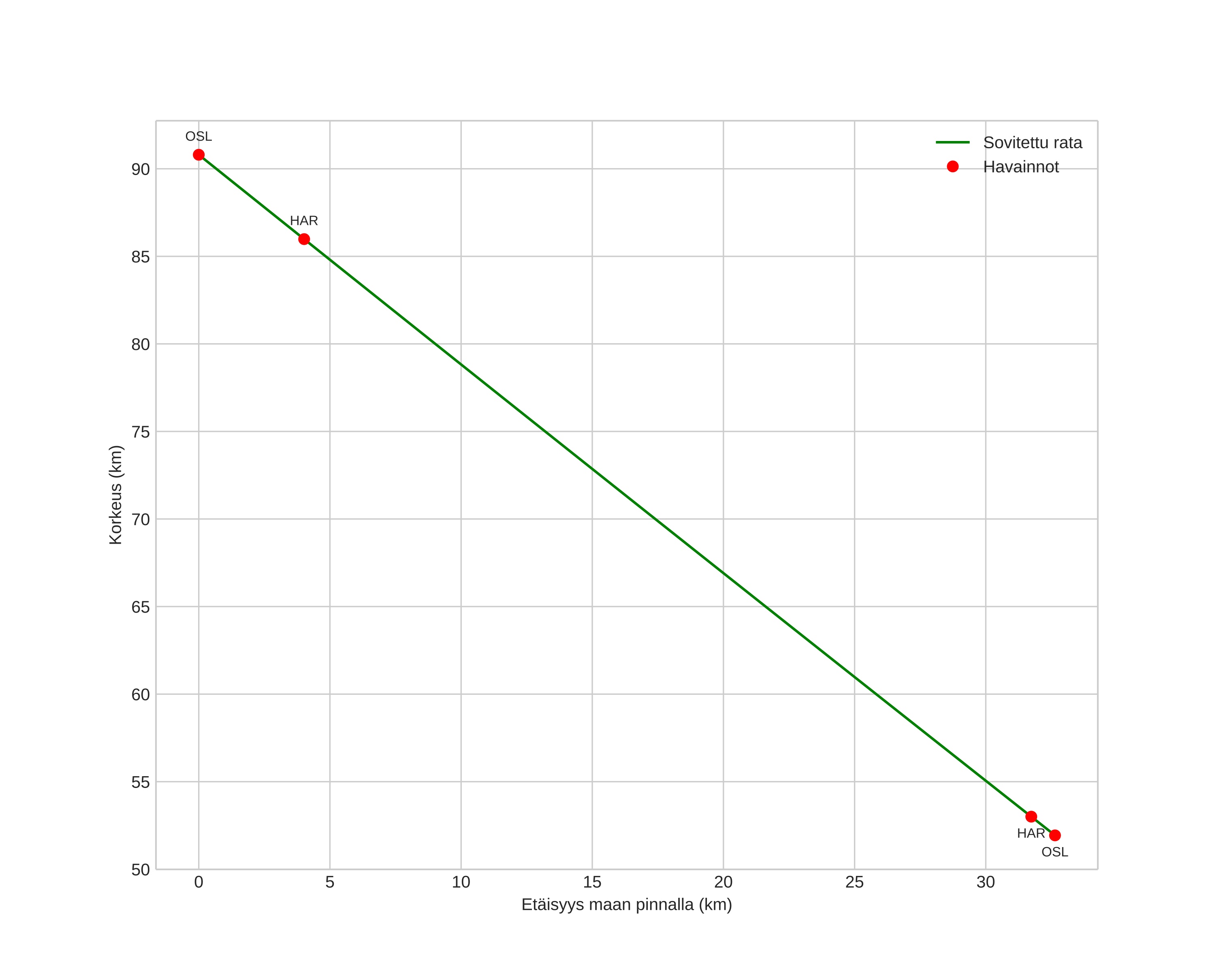
height profile
Meteorin ilmakehärata:
Alkukorkeus: 90,8 km
Loppukorkeus: 51,9 km
Alkupiste: 61,022N 8,497E
Loppupiste: 61,151N 9,042E
Suunta: 63,5°
Kallistuskulma: 50,0°
Tulonopeus: 31,6 km/s
Radiantin R,A,: 07:44 (116,1°)
Radiantin Dekl,: 30,7°
Meteoriparvi: Geminidit
Meteoroidin rataelementit:
Perihelietäisyys: 0,159 AU
Eksentrisyys: 0,842
Inklinaatio: 17,0°
Nousevan solmun pituus: 262,6°
Perihelin argumentti: 326,4°
Keskianomalia: 320,0°
Epookki: 2015 DEC 15 04:32:51
orbit plot

Ei-interaktiivinen kuvaaja | Interaktiivinen kuvaaja

position vs time
speed and acceleration