🇳🇴 🇬🇧 🇩🇪 🇨🇿 🇫🇮

Meteor, poloha: Mundesley 2015-12-15 05:06:22 UTC

Soubor KML  |  InteraktivnĂ­ mapa

Mapa zobrazuje dráhy meteoru. Světlejší čáry ukazují směry od pozorovacích stanic při objevení se meteoru a tmavší čáry, kde byl naposledy viděn. Modrá šipka značí viditelnou dráhu meteoru.

static map
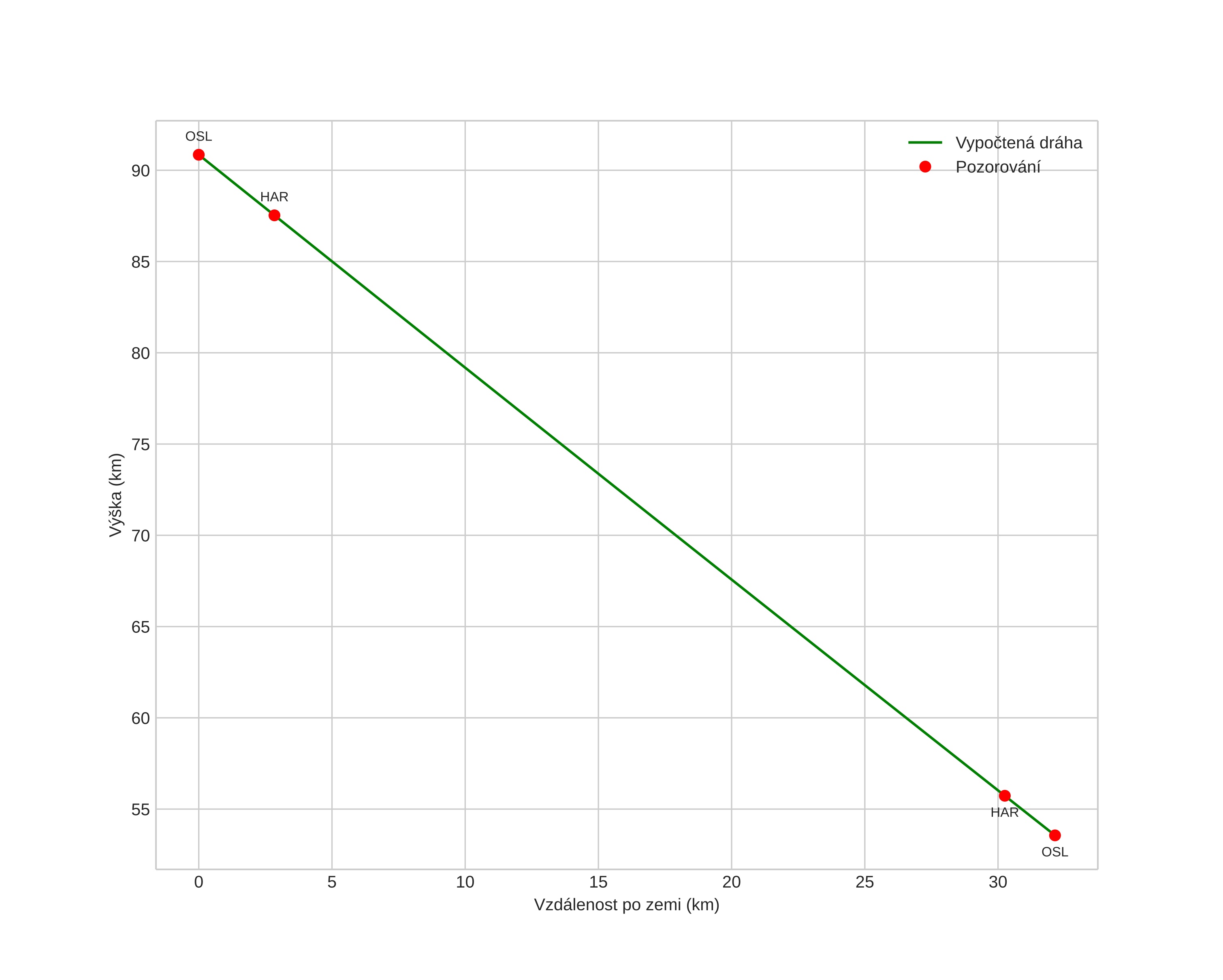
height profile
Atmosférická dráha meteoru:
Počáteční výška: 90,8 km
Konečná výška: 53,6 km
Počáteční poloha: 55,775N 2,364E
Konečná poloha: 55,858N 2,856E
Směr: 73,1°
Sklon: 49,2°
VstupnĂ­ rychlost: 33,6 km/s
Rektascenze radiantu: 07:35 (114,0°)
Deklinace radiantu: 30,1°
MeteorickĂ˝ roj: Geminidy
Elementy dráhy meteoroidu:
Vzdálenost v periheliu: 0,150 AU
Excentricita: 0,871
Sklon dráhy: 16,8°
Délka vzestupného uzlu: 262,7°
Argument perihelia: 325,1°
Střední anomálie: 329,5°
Epocha: 2015 DEC 15 05:06:22
orbit plot

NeinteraktivnĂ­ graf | InteraktivnĂ­ graf

position vs time
speed and acceleration