🇳🇴 🇬🇧 🇩🇪 🇨🇿 🇫🇮

Meteor Mundesleyn yllä 2015-12-15 05:06:22 UTC

KML-tiedosto  |  Interaktiivinen kartta

Kartta näyttää meteorin suuntahavainnot. Vaaleammat viivat näyttävät suunnat havaintoasemilta meteorin ilmestyessä, ja tummemmat viivat näyttävät, missä se viimeksi nähtiin. Sininen nuoli näyttää meteorin näkyvän lennon.

static map
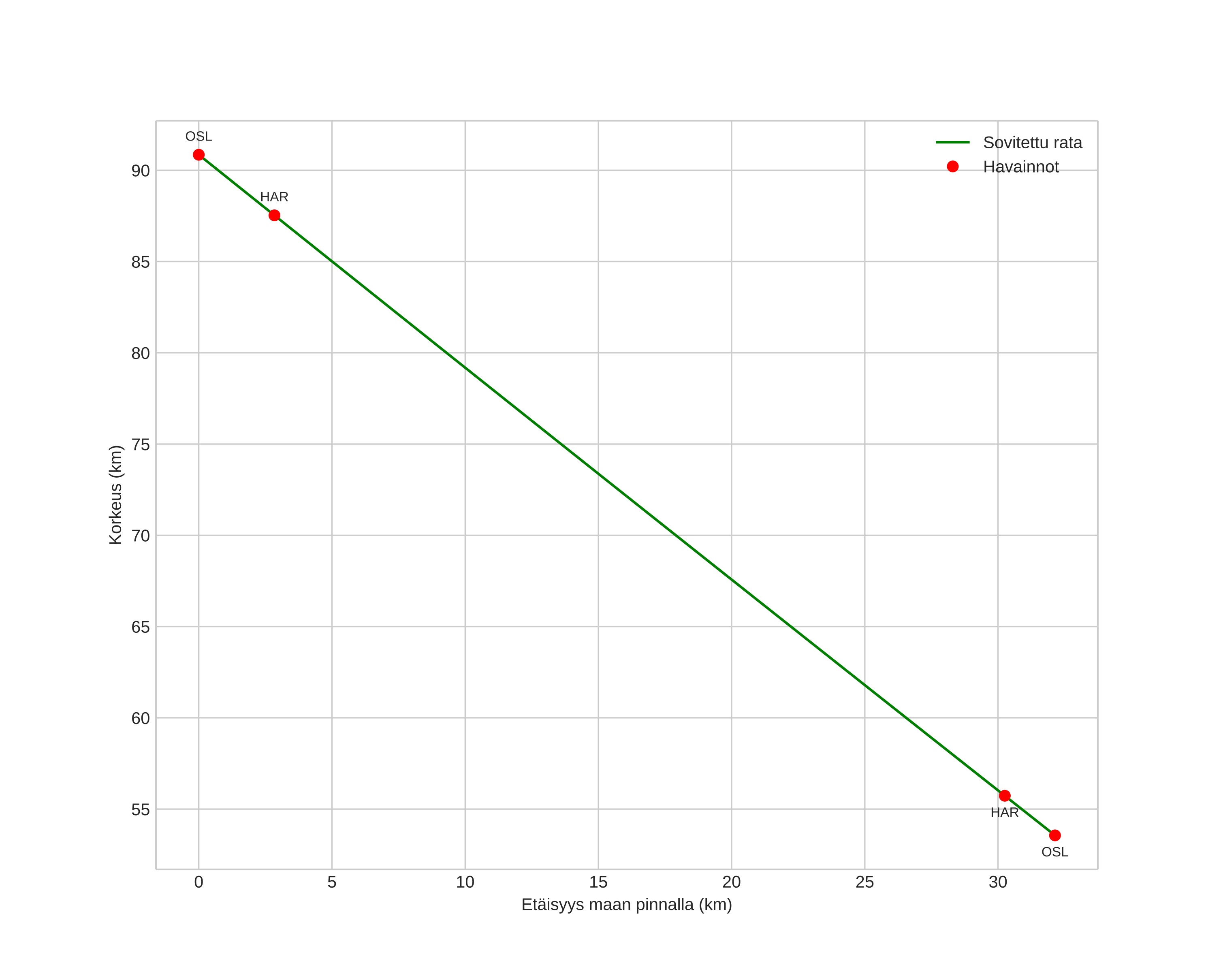
height profile
Meteorin ilmakehärata:
Alkukorkeus: 90,8 km
Loppukorkeus: 53,6 km
Alkupiste: 55,775N 2,364E
Loppupiste: 55,858N 2,856E
Suunta: 73,1°
Kallistuskulma: 49,2°
Tulonopeus: 33,6 km/s
Radiantin R,A,: 07:35 (114,0°)
Radiantin Dekl,: 30,1°
Meteoriparvi: Geminidit
Meteoroidin rataelementit:
Perihelietäisyys: 0,150 AU
Eksentrisyys: 0,871
Inklinaatio: 16,8°
Nousevan solmun pituus: 262,7°
Perihelin argumentti: 325,1°
Keskianomalia: 329,5°
Epookki: 2015 DEC 15 05:06:22
orbit plot

Ei-interaktiivinen kuvaaja | Interaktiivinen kuvaaja

position vs time
speed and acceleration